Open Access
Teacher autonomy and teacher job satisfaction: A chain-mediated model of self-efficacy and intrinsic motivation
1 Faculty of Education, East China Normal University, Shanghai, 200062, China
2 Faculty of Education, Beijing Normal University, Beijing, 100875, China
3 Department of Mental Health Education, Nanjing Audit University, Nanjing, 211815, China
4 Center for Teacher Education Research, Beijing Normal University, Key Research Institute of the Ministry of Education, Beijing, 100875, China
* Corresponding Author: Yangbang Hu. Email:
Journal of Psychology in Africa 2025, 35(1), 117-125. https://doi.org/10.32604/jpa.2025.065785
Received 19 May 2024; Accepted 26 October 2024; Issue published 30 April 2025
Abstract
This study aimed to explore the mediating roles of self-efficacy and intrinsic motivation on the relationship between teacher autonomy and teacher job satisfaction. Data were from the Teaching and Learning International Survey (TALIS 2018), with a sample of 3131 junior high school teachers (female = 2337; male = 794) from Shanghai, China. The mediating effect was analyzed using structural equation modeling. The results showed that teacher autonomy was positively associated with teacher job satisfaction, self-efficacy, and intrinsic motivation. Both self-efficacy and intrinsic motivation were associated with teacher job satisfaction. Self-efficacy was associated with teacher intrinsic motivation. Self-efficacy and intrinsic motivation not only served as independent mediators between teacher autonomy and teacher job satisfaction but also played a chain mediating role. Moreover, the separate mediating effect of self-efficacy was the most significant. Findings are consistent with the job demands-resources model by which diminished teacher autonomy would explain lower teacher job satisfaction.Keywords
Teachers with quality of work life would be with job satisfaction, associated with job retention and productivity. High levels of job satisfaction enhance teachers’ subjective well-being (Shoshani & Eldor, 2016) and job performance (Hendrawijaya et al., 2020), promote organizational citizenship behavior (Sesen & Basim, 2012), and reduce burnout (Chen et al., 2022) and turnover intentions (Zhang et al., 2022). Teacher job satisfaction refers to teachers’ affective and cognitive responses to their profession and current work environment (Skaalvik & Skaalvik, 2011). Teacher autonomy would be important to job satisfaction and a significant motivator (Kengatharan, 2020; Skaalvik & Skaalvik, 2021). Teacher autonomy refers to the ability and authority of teachers to determine their professional development and teaching practices according to their preferences. Currently, although several studies analyze the relationship between teacher autonomy and job satisfaction (Peng et al., 2022), controversies exist regarding these findings. For instance, Liu et al. (2021) reported a positive correlation between teacher autonomy and job satisfaction. However, some studies have identified a negative correlation (Esfandiari & Kamali, 2016) or no correlation (Sokmen & Kilic, 2019) between them. More importantly, few studies have elucidated the mechanism by which teacher autonomy influences job satisfaction, representing a critical research gap that needs to be filled urgently. To address this research gap, this study analyzes the relationship between teacher autonomy and job satisfaction within the framework of the job demands-resources (JD-R) model, revealing the mediating roles of self-efficacy and intrinsic motivation.
Teacher autonomy and teacher job satisfaction
Teacher job satisfaction is the positive emotional state that teachers derive from their work or work experience, primarily encompassing satisfaction with the profession and the work environment (Liu et al., 2021). Among the various factors influencing teacher job satisfaction, the significance of autonomy cannot be overlooked (Skaalvik & Skaalvik, 2021). Teacher autonomy refers to the freedom teachers possess to make decisions in realms like professional development and teaching practices (Hoekstra et al., 2009). Viewed through the JD-R model, autonomy, as a crucial job resource aiding in goal attainment and alleviating psychological and physiological burdens (Qi & Wu, 2018), could enhance teachers’ job satisfaction and motivation. Specifically, teacher autonomy guarantees that educators perform their duties in a manner they deem efficient, rather than merely following instructions. It represents the management of their labor, showcasing their desire for authority in educational and managerial tasks, and signifies the extent to which this need is met in their professional setting (Zhu et al., 2018). Meeting teachers’ autonomy needs and acknowledging their professional competence lead to heightened satisfaction levels with school administration and their job tasks. Numerous studies have affirmed the critical role of autonomy in enhancing individuals’ job satisfaction (Zhang & He, 2022; Zhao et al., 2022). Thus, drawing on the JD-R model and relevant research, we propose the hypothesis that teacher autonomy positively affects their job satisfaction.
Mediating effect of self-efficacy
Self-efficacy is usually defined as an individual’s belief that he or she has the ability to perform a task or behavior successfully (Bandura, 1977). Teacher self-efficacy refers to the confidence a teacher holds in his or her ability to successfully accomplish the purpose of teaching in teaching activities (Tschannen-Moran & Hoy, 2001). In the JD-R model, self-efficacy is an important personal resource and autonomy as a job resource has a positive effect on self-efficacy (Xanthopoulou et al., 2007). For teachers, more autonomy given to them by the school can give them the right to adjust the content and methods of teaching according to the needs of the students and their own professional judgment, and to evaluate and reflect on their own teaching effectiveness (Yao et al., 2023), which will better enable them to recognize their own strengths and room for growth, and enhance their confidence in their own ability to do their job. Many studies have shown self-efficacy to be an important outcome variable for autonomy (Wattoo et al., 2020). For example, Lange and Kayser (2022) noted that self-efficacy is a personal resource and that job autonomy is effective in increasing employees’ self-efficacy.
Meanwhile, teachers’ access to abundant personal resources facilitates a positive emotional state at work, with less feelings of stress and burnout. For all of them, increased self-efficacy enhances teachers’ confidence in their teaching abilities and promotes the adoption of more effective teaching strategies and methods, thus improving teaching outcomes and quality (Künsting et al., 2016). This positive feedback strengthens teachers’ resilience to face challenges and their problem-solving ability, reduces work stress (Hu et al., 2019), and increases job satisfaction. Meanwhile, teachers with high self-efficacy were more actively involved in work (Cai et al., 2022) and academic exchanges, which not only promoted the improvement of personal teaching skills, but also enhanced peer support and cooperation, further improving job satisfaction. Several studies have confirmed the direct relationship between self-efficacy and job satisfaction (Mokhtar et al., 2023; Zhang et al., 2024). Nanjundeswaraswamy et al. (2023) showed a positive correlation between self-efficacy and job satisfaction among textile employees. Alifuddin and Widodo (2021) found that self-efficacy positively influences teachers’ job satisfaction. Therefore, based on the literature review presented above, we conclude that self-efficacy mediates the relationship between teacher autonomy and job satisfaction.
Mediating effect of intrinsic motivation
Intrinsic motivation is motivation driven by interest in or enjoyment of the task itself and exists within the individual (Siu et al., 2014). Teacher intrinsic motivation refers to the fact that teachers are motivated to engage in an activity by internal interests, satisfactions, or values rather than external rewards or pressures. From this perspective, autonomy as a job resource may have a positive impact on teacher intrinsic motivation. Bawa and Garg (2023) noted that job autonomy was significantly and positively related to intrinsic motivation among Indian employees. Galletta et al. (2011) found a significant positive correlation between job autonomy and nurses’ intrinsic motivation to work.
At the same time, intrinsic motivation shapes people’s positive cognitive, emotional and behavioral outcomes (Moon et al., 2020). When people engage in a job because they have a genuine interest in, love for, or identification with their work, they are fully engaged in the job (Zeng et al., 2022) and are more likely to experience positive emotions and seek self-actualization and personal growth, which not only improves the quality and performance of the job, but also increases the sense of satisfaction and enjoyment in the work process. Following this logical inference, there may be a positive link between teacher intrinsic motivation and teacher job satisfaction. Bakaç et al. (2022) showed that implicit and explicit motive discrepancies indirectly affect burnout and job satisfaction through intrinsic motivation. Akosile and Ekemen (2022) found that intrinsic motivation positively affects job satisfaction among academic staff working in higher education institutions in Nigeria. Therefore, based on the analysis of the literature presented above, this study hypothesizes that intrinsic motivation mediates the relationship between teacher autonomy and job satisfaction.
Chain-mediating role between self-efficacy and intrinsic motivation
Personal resources like self-efficacy play an important role in the motivational process of the JD-R model (Moon et al., 2020), providing individual adaptability (Hobfoll, 2002). Self-efficacy refers to individuals’ beliefs in their ability to achieve the goals of their actions (Bandura, 1977). When teachers have a high sense of self-efficacy, they have a greater belief in their ability to achieve their teaching goals and overcome educational challenges. This belief motivates them to be more proactive in seeking out new teaching methods and techniques to improve their effectiveness (Kim et al., 2013). Meanwhile, Xu et al. (2022) found that employees’ job self-efficacy significantly and positively affects intrinsic motivation. Çetin and Aşkun (2018) showed that occupational self-efficacy influences employees’ job performance through intrinsic motivation. Thus, self-efficacy can effectively enhance teachers’ intrinsic motivation, and together, they play a chain mediating role between teacher autonomy and teacher job satisfaction.
The study aimed to explore the relationship between teacher autonomy and job satisfaction based on the JD-R model, and investigate the mediating role of teacher self-efficacy and teacher internal motivation between teacher autonomy and job satisfaction. Based on the above review, we proposed the following four hypotheses and established a framework, as shown in Figure 1.

Figure 1. Research framework
Hypothesis 1 (H1): Teacher autonomy is significantly and positively correlated with job satisfaction.
Hypothesis 2 (H2): Self-efficacy mediates the relationship between teacher autonomy and job satisfaction.
Hypothesis 3 (H3): Intrinsic motivation mediates the relationship between teacher autonomy and job satisfaction.
Hypothesis 4 (H4): Self-efficacy and intrinsic motivation have a chain mediating role between teacher autonomy and job satisfaction.
This study utilizes the Shanghai database from the third round of the 2018 Teaching and Learning International Survey (TALIS 2018), The TALIS is a global survey by the Organization for Economic Co-operation and Development (OECD) in 2018. Approximately 260,000 teachers participated in the TALIS2018 survey, representing 8 million teachers across 48 participating countries and economies. In China, specifically in Shanghai, a total of 3976 middle school teachers and 198 middle school principals completed the survey.
A valid sample of 3131 teachers in Shanghai, China, was selected for this study. Out of the total, 2337 were female teachers (74.64%) and 794 were male teachers (25.36%). A total of 3108 participants held a bachelor’s degree or higher (99.27%), while 23 had less than a bachelor’s degree (0.73%). Among the teachers, 318 had three years of teaching experience or less (10.16%), 1190 had between 4 to 15 years (38.01%), and 1623 had more than 15 years of experience (51.84%).
The Teacher Autonomy Scale (TAS) from the TALIS 2018 questionnaire comprises five items: “Determining course content”, “Selecting teaching methods”, “Assessing students’ learning”, “Disciplining students”, and “Determining the amount of homework to be assigned”. The items are rated on a four-point Likert scale ranging from “1 = Strongly disagree” to “4 = Strongly agree”, with higher scores indicating that teachers perceived a greater level of autonomy. In this study, the Cronbach’s alpha coefficient for scores from the TAS was 0.92.
The Teacher Job Satisfaction Scale (TJSS) from the TALIS 2018 is a measure of two dimensions: Job satisfaction with work environment and Job satisfaction with profession, totaling 8 items. The work environment dimension includes 4 items, e.g., “I enjoy working at this school,” and with one item reverse scored. The Professional Satisfaction dimension also has 4 items, e.g., “The advantages of being a teacher clearly outweigh the disadvantages,” and with one item reverse scored. Responses were on a four-point Likert scale (1 = strongly disagree to 4 = strongly agree), with higher scores indicating greater job satisfaction. Cronbach’s α for the full scale was 0.84, and for the dimensions, Job satisfaction with work environment and Job satisfaction with profession were 0.76 and 0.75, respectively.
The Self-Efficacy Scale (SES) from the TALIS 2018 questionnaire was utilized. The scale comprises three dimensions: Self-efficacy in instruction, Self-efficacy in classroom management, and Self-efficacy in student engagement. The Self-efficacy in instruction dimension consists of four questions, such as “Crafting good questions for students”. Similarly, the Self-efficacy in classroom management dimension comprises four questions, including “Controlling disruptive behavior in the classroom” and “Making expectations about student behavior clear.” Additionally, the Self-efficacy in student engagement dimension includes five items, such as “Encouraging students to believe in their ability to succeed in school work”. The items are rated on a four-point Likert scale ranging from “1 = Not at all” to “4 = A lot,” with higher scores indicating greater teacher self-efficacy. In this study, the Cronbach’s alpha coefficient for the full scale was 0.95, and the Cronbach’s alpha coefficients for Self-efficacy in instruction, Self-efficacy in classroom management, and Self-efficacy in student engagement were 0.89, 0.92, and 0.86, respectively.
The Intrinsic Motivation Subscale of the Motivation Scale (MS) from the TALIS 2018 questionnaire was utilized, comprising three items: “Teaching allowed me to influence the development of children and young people,” “Teaching allowed me to benefit the socially disadvantaged,” and “Teaching allowed me to provide a contribution to society.” Responses were on a four-point Likert scale (1 = Not important at all to 4 = Of high importance), with higher scores indicating greater intrinsic motivation among teachers. Cronbach’s α for Intrinsic Motivation Subscale in this study was 0.84.
All data in this study were analyzed utilizing SPSS 24.0 and AMOS 23.0. Initially, the data underwent testing for common method bias and discriminant validity between variables using this software. Subsequently, descriptive statistics and correlation analysis were conducted using SPSS 24.0. Lastly, the researcher employed AMOS 23.0 to construct structural equation modeling (SEM) and assess the associations among teacher autonomy, teacher job satisfaction, self-efficacy, and intrinsic motivation. Additionally, the mediating effects of self-efficacy and intrinsic motivation between teacher autonomy and teacher job satisfaction were examined employing the bias-corrected Bootstrap method.
Before building structural equation modeling to test the role of mediation, we need to test the data for common method bias and discriminant validity. The researcher used Harman’s single-factor test (Harman, 1976) to detect common method bias, and the results showed that a total of five common factors with an eigen root greater than 1 were extracted from all the question items, and the variance explained by the first factor was 34.56%, which was less than the 40% critical value. This indicates that there is no common method bias problem in this study. To ensure the reliability of the results, this study further used one-way validated factor analysis for common method bias test, and the results showed that χ2/df = 72.42, NFI = 0.55, RFI = 0.51, IFI = 0.55, TLI = 0.52, CFI = 0.55, and RMSEA = 0.15, and the model was poorly fitted, which also indicated that this study did not have serious common method bias.
In addition, this study utilized validated factor analysis to test the discriminant validity between variables. The results of the validated factor analysis are shown in Table 1, which shows that the four-factor model (baseline model) has the best fit compared to the other models, with χ2/df = 14.35, RMSEA = 0.07, NFI = 0.91, RFI = 0.90, IFI = 0.92, TLI = 0.91, and CFI = 0.92. This suggests excellent discriminant validity between teacher autonomy, job satisfaction, self-efficacy, and intrinsic motivation.

Descriptive statistics and correlation analysis
Table 2 shows the means, standard deviations and correlation coefficients of the four main variables of this study. Teacher autonomy was positively correlated with job satisfaction, self-efficacy, and intrinsic motivation (r = 0.24, p < 0.001; r = 0.39, p < 0.001; r = 0.18, p < 0.001). Teacher job satisfaction was positively correlated with self-efficacy and intrinsic motivation (r = 0.28, p < 0.001; r = 0.30, p < 0.001). Self-efficacy was positively correlated with intrinsic motivation (r = 0.30, p < 0.001). This provides preliminary support for further hypothesis testing.

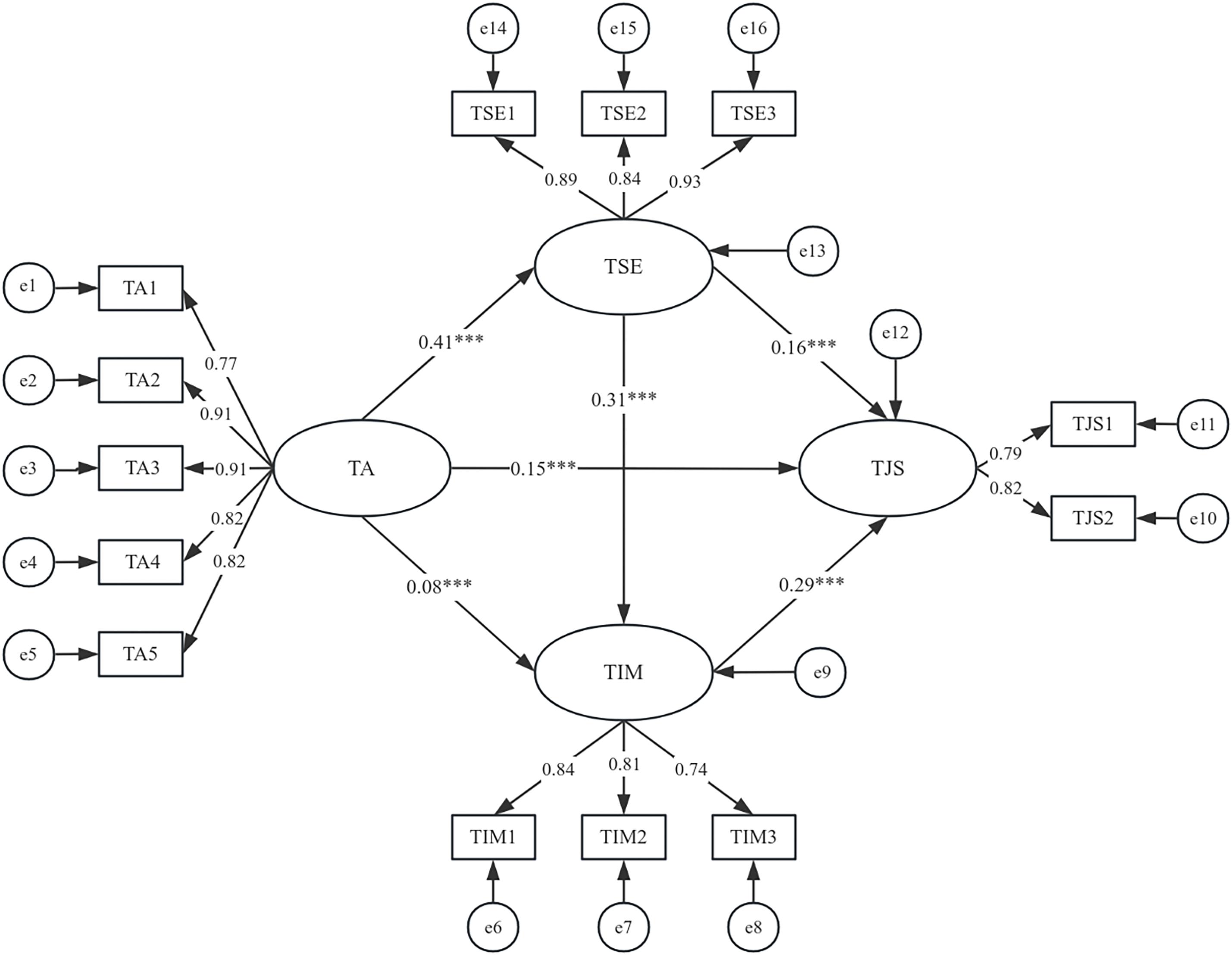
Following the research hypotheses, this study established the SEM with teacher autonomy as the independent variable, teacher job satisfaction as the dependent variable, and self-efficacy and intrinsic motivation as the mediating variables. This model aims to explore the mechanism of teacher autonomy’s impact on teacher job satisfaction. The SEM’s fit indices include χ2/df = 11.32, RMSEA = 0.06, SRMR = 0.02, NFI = 0.98, RFI = 0.97, IFI = 0.98, TLI = 0.97, and CFI = 0.98, with coefficients falling within acceptable ranges, signifying a well-fitted model. Figure 2 illustrates that teacher autonomy had a significant and positive impact on job satisfaction, self-efficacy, and intrinsic motivation (β = 0.15, p < 0.001; β = 0.41, p < 0.001; β = 0.08, p < 0.001). Self-efficacy significantly and positively affected job satisfaction and intrinsic motivation (β = 0.16, p < 0.001; β = 0.31, p < 0.001). Intrinsic motivation significantly and positively influenced teacher job satisfaction (β = 0.29, p < 0.001). Consequently, hypotheses H1 was supported.

Figure 2. SEM of teacher autonomy and teacher job satisfaction. Note. TA: teacher autonomy, TJS: teacher job satisfaction, TSE: teacher self-efficacy TIM: teacher intrinsic motivation. ***p < 0.001 (two-tailed).
The researcher employed the bias-corrected percentile Bootstrap method with 5000 sample repetitions to examine the mediating effect of self-efficacy and intrinsic motivation between teacher autonomy and job satisfaction. The results, depicted in Table 3, revealed that the direct effect value of teacher autonomy on job satisfaction was 0.15, with a 95% confidence interval (CI) of [0.11, 0.20], excluding 0, signifying a significant direct effect pathway between teacher autonomy and job satisfaction. The effect size of self-efficacy between teacher autonomy and job satisfaction is 0.07, with a 95% CI of [0.05, 0.09], excluding 0, suggesting that self-efficacy plays a partially mediating role between them. Similarly, the effect size of intrinsic motivation between teacher autonomy and job satisfaction is 0.02, with a 95% CI of [0.01, 0.04], not containing 0, indicating that intrinsic motivation has a partial mediating role between them. Moreover, the effect size of self-efficacy and intrinsic motivation between teacher autonomy and job satisfaction is 0.04, with a 95% CI of [0.03, 0.05], excluding 0, suggesting that self-efficacy and intrinsic motivation play a sequential mediating role between them. Therefore, hypotheses H2, H3, and H4 were supported.

To further examine the distinctions among these three mediating paths, the Bootstrap method was employed to analyze the differences in mediating effects across the paths. Table 4 displays significant disparities between Indirect1 and Indirect2, with an effect size of 0.05. The bias-corrected 95% CI is [0.02, 0.07], excluding 0, suggesting that Indirect1 significantly outperforms Indirect2. Furthermore, there exists a notable distinction between Indirect1 and Indirect3, with an effect size of 0.03 and a bias-corrected 95% CI of [0.01, 0.06], not encompassing 0, indicating that Indirect1 is notably superior to Indirect3. Conversely, no significant difference is observed between Indirect2 and Indirect3, as the effect size is −0.01, and the bias-corrected 95% CI is [−0.03, 0.00], which includes 0.

While prior research has delved into the association between teacher autonomy and job satisfaction, with some studies suggesting a positive correlation (Liu et al., 2021), others have presented divergent findings, proposed negative correlations (Esfandiari & Kamali, 2016) or indicated no significant relationship (Sokmen & Kilic, 2019), prompting further inquiry. Moreover, scant attention has been given to elucidating the underlying mechanisms through which teacher autonomy influences job satisfaction, particularly the mediating roles of teacher self-efficacy and intrinsic motivation. Therefore, grounded in the JD-R model, this study aims to investigate the interplay between teacher autonomy and job satisfaction, leveraging the mediating pathways of teacher self-efficacy and intrinsic motivation, thus offering a theoretical framework for understanding their interconnectedness.
The finding shows that there is a positive correlation between teacher autonomy and teacher job satisfaction, which suggests that the higher the level of teacher autonomy, the more satisfied they feel with their jobs. This result is consistent with the findings of related studies (Peng et al., 2022), which again proves that autonomy is a contributing factor to teacher job satisfaction. At the same time, this fits with the JD-R model’s explanation that job resources have a motivational potential that promotes employee engagement and excellence at work (Demerouti & Bakker, 2011). Autonomy as an important job resource not only protects its established resources from being compromised, but also compensates teachers for potential resource gaps and increased resource inputs, which will motivate teachers to be more motivated to engage in their work and experience higher levels of satisfaction.
In contrast to prior research, our study delves into the underlying mechanisms through which teacher autonomy positively influences teacher job satisfaction, utilizing the theoretical framework of the JD-R model. Our findings reveal that teacher self-efficacy and intrinsic motivation serve both as independent and chain mediators between teacher autonomy and job satisfaction. According to the JD-R model, job resources play an integral role in intrinsically motivating employees, fostering their growth, learning, and development (Demerouti & Bakker, 2011). Within this motivational process, personal resources play a crucial role, as job resources can facilitate the development of personal resources, which, in turn, fuel motivation and enhance job satisfaction (Hobfoll, 2001). This theoretical perspective offers insights into the mediating roles of teacher self-efficacy and intrinsic motivation, providing a robust analytical framework for understanding the dynamics between teacher autonomy and job satisfaction. Furthermore, our study yields novel insights into the relationship between teacher self-efficacy, intrinsic motivation, and job satisfaction, diverging from previous findings (Chang & Sung, 2024). While prior research suggested that intrinsic motivation impacts job satisfaction through self-efficacy, our results indicate a reciprocal relationship: teacher self-efficacy can also influence job satisfaction through intrinsic motivation. This suggests a potential bidirectional causality between teacher efficacy and intrinsic motivation, warranting further investigation.
Another innovative finding of this study emphasized the independent mediating role of teacher self-efficacy between teacher autonomy and teacher job satisfaction. The findings showed that these three mediating paths accounted for 46.43% of the total effect, with the mediating path of teacher self-efficacy being the most significant, accounting for 25% of the total effect. This finding contributes to a deeper understanding of the mechanisms of autonomy influencing teacher job satisfaction. At the same time, it also re-emphasizes the important role of personal resources in the motivational process of the JD-R model. The main reason why the mediating role of teacher self-efficacy may be stronger than that of intrinsic motivation may be that self-efficacy, as a personal resource that helps teachers to invest in resources and reap the rewards, has a more direct and effective impact on teachers’ attitudes and behaviors at work. Teachers are more likely to take autonomous action and solve problems when they perceive themselves to be capable of performing their work tasks effectively. In the process, they are able to experience a greater sense of well-being and control (Huang et al., 2019), which are important resources for enhancing teachers’ job satisfaction. Second, self-efficacy can provide resilience and staying power in teachers’ work. While intrinsic motivation promotes teachers to seek satisfaction and fulfillment in their work, a stronger sense of self-efficacy may be needed to support sustained effort when confronted with problems.
Theoretical and practical implications
The theoretical contributions of this study can be summarized as follows: First, utilizing the JD-R model, this study unveils the mediating role of self-efficacy and intrinsic motivation between teacher autonomy and teacher job satisfaction. This discovery establishes a theoretical groundwork for the interconnectedness of these concepts, offering an effective theoretical perspective and analytical framework for investigating the impact of autonomy on teacher job satisfaction. Second, certain studies have indicated that intrinsic motivation impacts teacher job satisfaction via self-efficacy (Chang & Sung, 2024). This study validated that self-efficacy can impact teacher job satisfaction through intrinsic motivation, implying a potential causal link between self-efficacy and intrinsic motivation in influencing teacher job satisfaction, thereby offering valuable insights for future investigations. Third, this study underscored the importance of self-efficacy in the comparative analysis of mediating paths, indicating that self-efficacy plays a crucial role in the mechanism through which teacher autonomy influences their job satisfaction.
The findings hold substantial practical significance for enhancing teacher job satisfaction. Firstly, a significant positive correlation was discovered between teacher autonomy and teacher job satisfaction, indicating the crucial role of autonomy in enhancing teacher job satisfaction. School administrators should promote greater autonomy among teachers in school policy-making, curriculum design, and selection of teaching resources through the establishment of an open and inclusive decision-making process. Additionally, creating a supportive work environment is crucial, encompassing the provision of essential resources, time, and space to empower teachers in implementing innovations and enhancing teaching methods independently. Furthermore, guided by the JD-R model, this study investigated the mediating roles of self-efficacy and intrinsic motivation between teacher autonomy and teacher job satisfaction. This study enriches our comprehension of how autonomy influences teacher job satisfaction and emphasizes the significance of self-efficacy and intrinsic motivation in fostering teacher job satisfaction. In practical terms, schools can boost teachers’ self-efficacy and self-esteem by offering targeted and constructive feedback through regular evaluations of teachers’ job performance. Moreover, creating supportive communities and professional development networks is essential to offering teachers ongoing learning and growth prospects, including engagement in educational seminars, online courses, workshops, and more. This will further invigorate teachers’ intrinsic motivation and aid in their quest to attain improved educational outcomes.
Limitations and future directions
The study has certain limitations. First, it is grounded in the cross-sectional research design and data from TALIS 2018 to investigate the impact of teacher autonomy on teacher job satisfaction. Longitudinal or experimental studies should be employed to unveil the causal relationship between them in future research. Second, the study examined the correlation between teacher autonomy with a single-dimensional structure and teacher job satisfaction. Investigating the impact of teacher autonomy with a multidimensional structure on teacher job satisfaction in future studies would be beneficial. Finally, the study utilized data from teachers in Shanghai, potentially restricting the generalizability of the results. It is advised that future studies validate these findings in diverse cultural contexts to deepen comprehension of these relationships.
This study examines the impact of teacher autonomy on teacher job satisfaction by unveiling the mediating roles of self-efficacy and intrinsic motivation. First, teacher autonomy is significantly and positively related to teacher job satisfaction. Second, self-efficacy and intrinsic motivation not only served as independent mediators between teacher autonomy and teacher job satisfaction but also played a chain mediating role. Moreover, the separate mediating effect of self-efficacy was the most significant.
Acknowledgement: We are truly grateful to all participants for their valuable contributions to this study. We also extend our deep appreciation to the reviewers and the editorial team for their insightful comments and support.
Funding Statement: No funding was received.
Author Contributions: The authors confirm contribution to the paper as follows: Study conception and design: Guangqiang Wang; data collection: Guangqiang Wang; analysis and interpretation of results: Guangqiang Wang and Hui Bai; draft manuscript preparation: Guangqiang Wang, Hui Bai, Shuo Wang, and Yangbang Hu. All authors reviewed the results and approved the final version of the manuscript.
Availability of Data and Materials: The data that support the findings of this study are available from the corresponding author, Yangbang Hu, upon reasonable request.
Ethics Approval: Ethical approval was not required for this study, as it relied on the data from the Teaching and Learning International Survey (TALIS), which is publicly available to the academic research community.
Conflicts of Interest: The authors declare no conflicts of interest to report regarding the present study.
References
Akosile, A. L., & Ekemen, M. A. (2022). The impact of core self-evaluations on job satisfaction and turnover intention among higher education academic staff: Mediating roles of intrinsic and extrinsic motivation. Behavioral Sciences, 12(7), 236. https://doi.org/10.3390/bs12070236 [Google Scholar] [PubMed] [CrossRef]
Alifuddin, M., & Widodo, W. (2021). How social intelligence, integrity, and self-efficacy affect job satisfaction: Empirical evidence from Indonesia. Journal of Asian Finance Economics and Business, 8(7), 625–633. https://doi.org/10.13106/jafeb.2021.vol8.no7.0625 [Google Scholar] [CrossRef]
Bakaç, C., Chen, Y., Zyberaj, J., Kehr, H. M., & Quirin, M. (2022). Perceived intrinsic motivation mediates the effect of motive incongruence on job burnout and job satisfaction. The Journal of Psychology, 156(1), 12–32. https://doi.org/10.1080/00223980.2021.1980758 [Google Scholar] [PubMed] [CrossRef]
Bandura, A. (1977). Self-efficacy: Toward a unifying theory of behavioral change. Psychological Review, 84(2), 191–215. https://doi.org/10.1037/0033-295X.84.2.191 [Google Scholar] [PubMed] [CrossRef]
Bawa, M., & Garg, N. (2023). Job-autonomy and employees’ creativity: The mediating role of intrinsic motivation. South Asian Journal of Management, 30(2133–150. [Google Scholar]
Cai, Y., Wang, L., Bi, Y., & Tang, R. (2022). How can the professional community influence teachers’ work engagement? The mediating role of teacher self-efficacy. Sustainability, 14(16), 10029. https://doi.org/10.3390/su141610029 [Google Scholar] [CrossRef]
Çetin, F., & Aşkun, D. (2018). The effect of occupational self-efficacy on work performance through intrinsic work motivation. Management Research Review, 41(2), 186–201. https://doi.org/10.1108/MRR-03-2017-0062 [Google Scholar] [CrossRef]
Chang, T.-J., & Sung, Y.-T. (2024). Does teacher motivation really matter? Exploring the mediating role of teachers’ self-efficacy in the relationship between motivation and job satisfaction. The Asia-Pacific Education Researcher, 33, 1315–25. https://doi.org/10.1007/s40299-023-00803-4 [Google Scholar] [CrossRef]
Chen, W., Zhou, S., Zheng, W., & Wu, S. (2022). Investigating the relationship between job burnout and job satisfaction among Chinese generalist teachers in rural primary schools: A serial mediation model. International Journal of Environmental Research and Public Health, 19(21), 14427. https://doi.org/10.3390/ijerph192114427 [Google Scholar] [PubMed] [CrossRef]
Demerouti, E., & Bakker, A. B. (2011). The job demands-resources model: Challenges for future research. SA Journal of Industrial Psychology, 37(2), 1–9. https://doi.org/10.4102/sajip.v37i2.974 [Google Scholar] [CrossRef]
Esfandiari, R., & Kamali, M. (2016). On the relationship between job satisfaction, teacher burnout, and teacher autonomy. Iranian Journal of Applied Language Studies, 8(2), 73–98. https://doi.org/10.22111/IJALS.2016.3081 [Google Scholar] [CrossRef]
Galletta, M., Portoghese, I., & Battistelli, A. (2011). Intrinsic motivation, job autonomy and turnover intention in the Italian healthcare: The mediating role of affective commitment. Journal of Management Research, 3(2), 1–19. https://doi.org/10.5296/jmr.v3i2.619 [Google Scholar] [CrossRef]
Harman, H. H. (1976). Modern factor analysis. Chicago: University of Chicago press. [Google Scholar]
Hendrawijaya, A. T., Hilmi, M. I., Hasan, F., Imsiyah, N., & Indrianti, D. T. (2020). Determinants of teacher performance with job satisfactions mediation. International Journal of Instruction, 13(3), 845–860. https://doi.org/10.29333/iji.2020.13356a [Google Scholar] [CrossRef]
Hobfoll, S. E. (2001). The influence of culture, community, and the nested-self in the stress process: Advancing conservation of resources theory. Applied Psychology, 50(3), 337–421. https://doi.org/10.1111/1464-0597.00062 [Google Scholar] [CrossRef]
Hobfoll, S. E. (2002). Social and psychological resources and adaptation. Review of General Psychology, 6(4), 307–324. https://doi.org/10.1037/1089-2680.6.4.307 [Google Scholar] [CrossRef]
Hoekstra, A., Korthagen, F., Brekelmans, M., Beijaard, D., & Imants, J. (2009). Experienced teachers’ informal workplace learning and perceptions of workplace conditions. Journal of Workplace Learning, 21(4), 276–298. https://doi.org/10.1108/13665620910954193 [Google Scholar] [CrossRef]
Hu, B. Y., Li, Y., Wang, C., Reynolds, B. L., & Wang, S. (2019). The relation between school climate and preschool teacher stress: The mediating role of teachers’ self-efficacy. Journal of Educational Administration, 57(6), 748–767. https://doi.org/10.1108/JEA-08-2018-0146 [Google Scholar] [CrossRef]
Huang, S., Yin, H., & Lv, L. (2019). Job characteristics and teacher well-being: The mediation of teacher self-monitoring and teacher self-efficacy. Educational Psychology, 39(3), 313–331. https://doi.org/10.1080/01443410.2018.1543855 [Google Scholar] [CrossRef]
Kengatharan, N. (2020). The effects of teacher autonomy, student behavior and student engagement on teacher job satisfaction. Educational Sciences: Theory & Practice, 20(41–15. https://doi.org/10.12738/jestp.2020.4.001 [Google Scholar] [CrossRef]
Kim, C., Kim, M. K., Lee, C., Spector, J. M., & DeMeester, K. (2013). Teacher beliefs and technology integration. Teaching and Teacher Education, 29, 76–85. https://doi.org/10.1016/j.tate.2012.08.005 [Google Scholar] [CrossRef]
Künsting, J., Neuber, V., & Lipowsky, F. (2016). Teacher self-efficacy as a long-term predictor of instructional quality in the classroom. European Journal of Psychology of Education, 31, 299–322. https://doi.org/10.1007/s10212-015-0272-7 [Google Scholar] [CrossRef]
Lange, M., & Kayser, I. (2022). The role of self-efficacy, work-related autonomy and work-family conflict on employee’s stress level during home-based remote work in Germany. International Journal of Environmental Research and Public Health, 19(9), 4955. https://doi.org/10.3390/ijerph19094955 [Google Scholar] [PubMed] [CrossRef]
Liu, Y., Bellibaş, M. Ş., & Gümüş, S. (2021). The effect of instructional leadership and distributed leadership on teacher self-efficacy and job satisfaction: Mediating roles of supportive school culture and teacher collaboration. Educational Management Administration & Leadership, 49(3), 430–453. https://doi.org/10.1177/1741143220910438 [Google Scholar] [CrossRef]
Liu, S., Keeley, J. W., Sui, Y., & Sang, L. (2021). Impact of distributed leadership on teacher job satisfaction in China: The mediating roles of teacher autonomy and teacher collaboration. Studies in Educational Evaluation, 71(3), 101099. https://doi.org/10.1016/j.stueduc.2021.101099 [Google Scholar] [CrossRef]
Mokhtar, A., Maouloud, V. M., Omowunmi, A. K., & Nordin, M. S. B (2023). Teachers’ commitment, self-efficacy and job satisfaction as communicated by trained teachers. Management in Education, 37(3), 127–139. https://doi.org/10.1177/08920206211019400 [Google Scholar] [CrossRef]
Moon, T.-W., Youn, N., Hur, W.-M., & Kim, K.-M. (2020). Does employees’ spirituality enhance job performance? The mediating roles of intrinsic motivation and job crafting. Current Psychology, 39(5), 1618–1634. https://doi.org/10.1007/s12144-018-9864-0 [Google Scholar] [CrossRef]
Nanjundeswaraswamy, T. P. N., Bharath, S., & Km, V. (2023). The mediating role of self-efficacy in the relationship between job satisfaction and commitment of employees working in the textile industry. Research Journal of Textile and Apparel, 28, 1031–1050. https://doi.org/10.1108/RJTA-01-2023-0002 [Google Scholar] [CrossRef]
Peng, Y., Wu, H., & Guo, C. (2022). The relationship between teacher autonomy and mental health in primary and secondary school teachers: The chain-mediating role of teaching efficacy and job satisfaction. International Journal of Environmental Research and Public Health, 19(22), 15021. https://doi.org/10.3390/ijerph192215021 [Google Scholar] [PubMed] [CrossRef]
Qi, Y. J., & Wu, X. C. (2018). Job demands-resources model: The development of theoretical and empirical research. Journal of Beijing Normal University (Social Science), 270(6), 30–38. [Google Scholar]
Sesen, H., & Basim, N. H. (2012). Impact of satisfaction and commitment on teachers’ organizational citizenship. Educational Psychology, 32(4), 475–491. https://doi.org/10.1080/01443410.2012.670900 [Google Scholar] [CrossRef]
Shoshani, A., & Eldor, L. (2016). The informal learning of teachers: Learning climate, job satisfaction and teachers’ and students’ motivation and well-being. International Journal of Educational Research, 79(1), 52–63. https://doi.org/10.1016/j.ijer.2016.06.007 [Google Scholar] [CrossRef]
Siu, O. L., Bakker, A. B., & Jiang, X. (2014). Psychological capital among university students: Relationships with study engagement and intrinsic motivation. Journal of Happiness Studies, 15(4), 979–994. https://doi.org/10.1007/s10902-013-9459-2 [Google Scholar] [CrossRef]
Skaalvik, E. M., & Skaalvik, S. (2011). Teacher job satisfaction and motivation to leave the teaching profession: Relations with school context, feeling of belonging, and emotional exhaustion. Teaching and Teacher Education, 27(6), 1029–1038. https://doi.org/10.1016/j.tate.2011.04.001 [Google Scholar] [CrossRef]
Skaalvik, E. M., & Skaalvik, S. (2021). Collective teacher culture: Exploring an elusive construct and its relations with teacher autonomy, belonging, and job satisfaction. Social Psychology of Education, 24(6), 1389–1406. https://doi.org/10.1007/s11218-021-09673-4 [Google Scholar] [CrossRef]
Sokmen, Y., & Kilic, D. (2019). The relationship between primary school teachers’ self-efficacy, autonomy, job satisfaction, teacher engagement and burnout: A model development study. International Journal of Research in Education and Science, 5(2), 709–721. [Google Scholar]
Tschannen-Moran, M., & Hoy, A. W. (2001). Teacher efficacy: Capturing an elusive construct. Teaching and Teacher Education, 17(7783–805. https://doi.org/10.1016/S0742-051X(01)00036-1 [Google Scholar] [CrossRef]
Wattoo, M. A., Zhao, S., & Xi, M. (2020). High-performance work systems and work-family interface: Job autonomy and self-efficacy as mediators. Asia Pacific Journal of Human Resources, 58(1), 128–148. https://doi.org/10.1111/1744-7941.12231 [Google Scholar] [CrossRef]
Xanthopoulou, D., Bakker, A. B., Demerouti, E., & Schaufeli, W. B. (2007). The role of personal resources in the job demands-resources model. International Journal of Stress Management, 14(2), 121. https://doi.org/10.1037/1072-5245.14.2.121 [Google Scholar] [CrossRef]
Xu, Y., Liu, D., & Tang, D. S. (2022). Decent work and innovative work behaviour: Mediating roles of work engagement, intrinsic motivation and job self-efficacy. Creativity and Innovation Management, 31(1), 49–63. https://doi.org/10.1111/caim.12480 [Google Scholar] [CrossRef]
Yao, J. H., Jiang, Y. H., & Zou, H. H. (2023). The relationship between teaching autonomy and teaching reflection: The mediating role of psychological empowerment and professional commitment. Psychological Development and Education, 39(6), 842–849. https://doi.org/10.16187/j.cnki.issn1001-4918.2023.06.10 [Google Scholar] [CrossRef]
Zeng D., Takada N., Hara Y., Sugiyama S., Ito Y. et al. (2022). Impact of intrinsic and extrinsic motivation on work engagement: A cross-sectional study of nurses working in long-term care facilities. International Journal of Environmental Research and Public Health, 19(3), 1284. https://doi.org/10.3390/ijerph19031284 [Google Scholar] [PubMed] [CrossRef]
Zhang, N., & He, X. (2022). Role stress, job autonomy, and burnout: The mediating effect of job satisfaction among social workers in China. Journal of Social Service Research, 48(3), 365–375. https://doi.org/10.1080/01488376.2022.2048289 [Google Scholar] [CrossRef]
Zhang J., He W., Jiang J., Luo X., Li G. et al. (2024). The impact of high-performance work system perceived by medical staff on job satisfaction: The mediating role of self-efficacy. Psychology Health & Medicine, 29(3), 492–504. https://doi.org/10.1080/13548506.2023.2189271 [Google Scholar] [PubMed] [CrossRef]
Zhang, Q., Li, X., & Gamble, J. H. (2022). Teacher burnout and turnover intention in higher education: The mediating role of job satisfaction and the moderating role of proactive personality. Frontiers in Psychology, 13, 1076277. https://doi.org/10.3389/fpsyg.2022.1076277 [Google Scholar] [PubMed] [CrossRef]
Zhao, J. L., Li, X. H., & Shields, J. (2022). Optimizing the relationship between job autonomy and knowledge workers’ satisfaction: The roles of crafting and value congruence. Asia Pacific Journal of Human Resources, 60(3), 608–631. https://doi.org/10.1111/1744-7941.12278 [Google Scholar] [CrossRef]
Zhu, J. J., Yao, J. H., & Wu, M. (2018). Extrinsic autonomy of teaching and job satisfaction: Mediating role of intrinsic autonomy of teaching. Psychological Development and Education, 34(3), 338–345. https://doi.org/10.16187/j.cnki.issn1001-4918.2018.03.10 [Google Scholar] [CrossRef]
Cite This Article
Copyright © 2025 The Author(s). Published by Tech Science Press.This work is licensed under a Creative Commons Attribution 4.0 International License , which permits unrestricted use, distribution, and reproduction in any medium, provided the original work is properly cited.


Submit a Paper
Propose a Special lssue
View Full Text
Download PDF
Downloads
Citation Tools