Open Access
REVIEW
On Optimizing Resource Allocation: A Comparative Review of Resource Allocation Strategies in HetNets
1 Faculty of Electrical Engineering, Laboratory for Telecommunications, University of Ljubljana, Kongresni trg 12, Ljubljana, 1000, Slovenia
2 Faculty of Electrical and Computer Engineering, Telecommunications Department, University of Prishtina, Str. “George Bush”, No. 31, Prishtina, 10000, Kosova
* Corresponding Author: Zana Limani Fazliu. Email:
(This article belongs to the Special Issue: Computer Modeling for Future Communications and Networks)
Computer Modeling in Engineering & Sciences 2025, 142(3), 2211-2245. https://doi.org/10.32604/cmes.2025.059541
Received 10 October 2024; Accepted 26 December 2024; Issue published 03 March 2025
Abstract
Resource allocation remains a challenging issue in communication networks, and its complexity is continuously increasing with the densification of the networks. With the evolution of new wireless technologies such as Fifth Generation (5G) and Sixth Generation (6G) mobile networks, the service level requirements have become stricter and more heterogeneous depending on the use case. In this paper, we review a large body of literature on various resource allocation schemes that are used in particular in mobile wireless communication networks and compare the proposed schemes in terms of performance indicators as well as techniques used. Our review shows that among the strategies proposed in the literature, there is a wide variety of optimization targets and combinations thereof, focusing mainly on performance indicators such as energy efficiency, spectral efficiency, and network capacity. In addition, in this paper, selected algorithms for resource allocation are numerically analyzed through simulations to compare and highlight the importance of how the resource algorithms are implemented to achieve efficient usage of the available spectrum. The performance of selected algorithms is evaluated in a multi-cell heterogeneous network and compared to proportional fair and eICIC, a widely-used combination of resource allocation and interference mitigation techniques used by communication networks. The results show that one approach may perform better when looking at the individual average user data rate but worse when looking at the overall spectral or energy efficiency, depending on the category of traffic. The results, therefore, confirm that there may not be a single algorithm that visibly outperforms other candidates in terms of all performance criteria. Instead, their efficiency is always a consequence of a strategic choice of goals, and the targeted parameters are optimized at a price. Thus, the development and implementation of resource allocation algorithms must follow concrete usage scenarios and network needs and be highly dependent on the requirements and criteria of network performance.Keywords
As witnessed in recent years, the exponential trend of the number of connected devices is expected to continue, indicating a consistent increase in data traffic demand [1,2]. According to an Ericsson report [3], mobile network traffic has almost doubled just in the last 2 years. During the first quarter of 2024, 160 million 5G subscriptions were added to exceed 1.7 billion and are expected to reach 5.6 billion by the end of 2029, projected to account for 60% of all mobile users. 5G is expected to become the dominant mobile access technology by 2028 [3]. 5G network supports applications with different Quality of Service (QoS) requirements, such as remote surgery, intelligent transportation systems, high voltage electricity distribution, and industrial control. Since 5G is expected to support different applications with heterogeneous requirements, 5G services are classified into three main categories [4]:
1. Enhanced Mobile Broadband (eMBB) which aims to offer high data rates, high user mobility, and high connectivity
2. Ultra-reliable low latency communications (uRLLC) which is designed for mission-critical applications by offering high reliability and ultra-low latency, and
3. Massive Machine Type Communications (mMTC), which is designed to support massively dense deployments of connected devices and is considered one of the main enablers of IoT (Internet of Things).
5G integrates diverse technologies, including vehicular networking [5], Device to Device (D2D) communications [6], Machine to Machine (M2M) communications [7], Internet of Things (IoT) [8], cloud radio access networks [9], mobile edge computing (MEC) [10], cloud computing [11], unmanned aerial vehicles (UAVs) [12], etc., to realize the Internet of Everything [13].
6G is expected to offer a further improvement over 5G in these three key parameters. Currently, 5G presents trade-offs between latency, energy, throughput, and end-to-end reliability, while 6G is excepted to jointly meet stringent network demands such as extremely high throughput, ultra-high reliability, and ultra-low latency [14,15]. In particular, it is expected to support a connectivity density 10 times higher compared to 5G and 100 times higher compared to 4G and offer a peak throughput 100 times faster than 5G and 1000 times faster compared to 4G [15–17]. The main differences between 4G, 5G, and 6G networks are presented in Fig. 1.

Figure 1: Comparison between 4G, 5G, and 6G capabilities
In 6G, five categories of usage scenarios are defined, where eMBB+, uRLLC+, and mMTC+ are extensions of usage scenarios defined in 5G while sensing and AI is two new categories that will be developed in the era of 6G. High spectral and energy efficiency, high capacity, and low latency are needed to support real-time AI. The sensing requirements vary from application to application. For example, future localization applications are expected to require high sensing accuracy and resolution, resulting in high reliability and high bandwidth [18].
The coexistence of different services with specific heterogeneous requirements within the same network in 5G and 6G networks makes the resource allocation process challenging. In particular, satisfying the QoS requirements of uRLLC users will cause the reduction of available resources for the eMBB users. Furthermore, the stochastic nature of uRLLC traffic complicates the situation due to the unexpected arrival of the uRLLC requests with their strict latency and reliability requirements. In response, the 3rd Generation Partnership Project (3GPP) proposed two scheduling approaches to handle the uRLLC traffic: reservation-based scheduling and instant scheduling [19]. The first approach reserves frames to handle any unexpected uRLLC traffic. This approach causes a waste of resources in cases where there are no incoming uRLLC data. The second approach serves the incoming uRLLC traffic using short transmission time intervals. This approach may cause interruptions to other applications’ ongoing transmissions, causing performance degradation.
The resource allocation scheme, to address said challenges, must be able to efficiently match available resources not only with the potential users but also the specific service, depending on their channel conditions and service level requirements. Managing expectations of the different services while meeting the strict requirements in terms of delay and throughput, as the number of users grows exponentially, severely strains not only the scheduling process but also related tasks such as user association and interference coordination. It is not uncommon therefore that sometimes these tasks are performed jointly or in coordination.
1.1 Resource Allocation in Heterogeneous Networks
The multi-tier ultra-dense Heterogeneous Networks (HetNets) are considered the main architecture in future wireless communication networks and a solution that has been widely adopted to respond to the ever-increasing traffic growth and heterogeneous traffic requirements in 5G and 6G [15,20].
Traditional HetNets are composed of small cells that present low-power base stations (BSs) known as micro, pico, or femtocells (depending on their coverage radius) deployed within an existing area of macro cells. Such deployment offers many benefits, including improved coverage area and low-power transmission, improved network capacity, reduced load at the macro cell, and overall cost benefits [21]. The high-power macro cells are deployed to cover large areas such as urban, suburban, and rural areas, while micro cells are deployed for small areas to complement the macro cells or enhance throughput. Fig. 2 presents the evolution of cellular networks from traditional networks, composed only of macro cells (Homogeneous Networks), to two-tier and three-tier HetNets. Table 1 presents the main characteristics of different-sized cells.

Figure 2: Evolution of cellular networks: a) Homogeneous Network; b) Two-tier Heterogeneous Network; c) Three-tier Heterogeneous Network
With the development of cellular communication networks and the growth of the users’ demands and requirements, the number of cells has seen significant and continued growth, resulting in the densification of the HetNets. The deployment of small cells brings benefits for the wireless communication networks in several aspects, including the reduction of costs and energy consumption in comparison to deploying additional macro cells [26–28]. However, despite the obvious benefits that come with densification, such networks are consequently faced with a complex challenge in terms of efficient resource allocation.
The two principal challenges that have always been present in HetNets are interference management and user association [29]. The transmission of any low-power BS associated with its users is impacted by interference originating from the transmissions of any high-power macro BS covering the same geographic area (inter-tier interference or cross-tier interference). Also, the resource allocation procedure is interweaved with interference management, and in ultra-dense deployments, the interference problem is exacerbated because of a shorter distance between the users and the interfering BS, resulting in stronger than usual intra-tier interference (co-tier interference) as well [30].
Resource allocation aims to allocate radio resources to users as efficiently as possible while optimizing network performance [31]. The procedure is conducted with an optimization target in mind, such as improved spectral efficiency (SE), improved energy efficiency (EE), or other considerations such as fairness guarantees, interference coordination, QoS assurance, etc. The goal of resource allocation usually is to pursue any or a number of the above targets. An optimal decision, however, represents a considerable challenge in terms of computational complexity, particularly in the case of ultra-dense HetNets because the number of BSs is significantly increased, implying that the number of combinations (BS-user) that need to be considered during the resource allocation procedure is larger as well.
The association of users is a challenge on its own: the users that are close to the small BSs tend to associate with the macro BSs instead of the small BSs (femto, picro, or micro) because of a higher received signal strength from the high-power BS of the macro cell. To address these challenges, the 3GPP has proposed the enhanced inter cell interference coordination (eICIC) Mechanism, which provides two techniques [30,32]. Firstly, a bias is added to the received signal strength from the small BSs, to force the users to connect with the small cells instead of macro cells. Secondly, to reduce the interference from the macro BSs, each macro BS remains silent for some time in which micro/pico BSs can transmit. This period, in which macros do not transmit, is called the Almost Blank Subframes (ABS) period. 3GPP does not specify how to define the ABS period and the bias value, and therefore these parameters are open to adjustment depending on network needs.
The resource allocation decisions are accomplished by scheduling algorithms. 5G New Radio (NR), like its predecessor, Long-Term Evolution (LTE), uses Orthogonal Frequency Division Multiplexing (OFDM) in the physical layer. OFDM carries data over orthogonally spaced subcarriers in the frequency domain. The subcarrier spacing is an important parameter that determines both the overall number of subcarriers and the length of the OFDM symbol in the time domain. Radio resources in 5G are arranged in units of Resource Elements (REs), consisting of one subcarrier during one OFDM symbol. REs are further grouped into Resource Blocks (RBs), composed of 12 consecutive subcarriers in the frequency domain. Once the process of user-BS association is completed, resource scheduling is applied to allocate RBs to the users at the BS level. Once the allocation is completed and users are informed through the appropriate control channel, the users’ data can be transmitted on the scheduled RBs [33].
The scheduler has to fulfill as many user requirements as possible in terms of QoS and latency by ensuring that all users of a cell are served. The scheduling algorithms are not standardized, leaving sufficient room for proprietary and vendor-specific algorithms to be developed. Historically, there have been several scheduling algorithms that have found widespread application [33]. Round Robin Scheduling is a method that allocates resources to the users where the first user is served first with the whole frequency spectrum for a certain period. Once the resources are released, the next user is served, and so on. New requests are placed at the end of the waiting queue. The core advantages of this algorithm are fairness in resource allocation and easy implementation. Maximum rate scheduling is another method that assigns resources disproportionately by allocating them more often to users who experience good channel conditions than those who experience bad channel conditions. While this type of scheduling optimizes network capacity, it does not guarantee a good level of fairness. Proportional Fair (PF) scheduling is a method that allocates resources to the users by aiming to ensure fairness in terms of service offered to the users while also considering user throughput. The PF scheduling allocates an RB, on a specific time instance
However, future communications networks impose stricter requirements, particularly regarding delay and reliability, as described above. Therefore, more advanced algorithms that aim to optimize several resource allocation targets are proposed for future communications networks. This paper is focused on techniques and algorithms for resource allocation in dense HetNets. Based on numerical simulations, a comparative analysis between different algorithms is performed, and results are derived and presented. In the following section, a detailed analysis of previous works is presented, followed by a description of the methodology used in this work and a detailed elaboration of the selected algorithms. The results of the simulations and conclusions are presented in the final section.
When allocating radio resources in HetNets, some of the main optimization objectives found in relevant literature are:
• Network capacity
• Spectral efficiency
• Energy efficiency
• Fairness
• Guaranteed QoS level
• Reduced complexity
• Interference mitigation
Different algorithms and approaches are proposed for optimizing one or several of the above-mentioned targets. The approaches and the pursued goals are varied, as illustrated hereafter with selected examples.
EE has become one of the main concerns in today’s wireless networks [34] due to the rapid increase in energy demands that reflect the negative impact on the environment. Green communications have attracted a lot of interest from both industry and academia, mostly because of environmental concerns [35,36]. The EE is calculated as the ratio of the overall data rate to total energy consumption (bits/joule) for all users [37,38]. Improving EE provides the means for longer battery life and is required not only to prolong the battery lifetime of end-user smartphones but primarily to address the domain of sensor network deployments where targeted battery lifetimes are as long as a decade. Efficient resource allocation schemes focused on energy consumption minimization and energy conservation have been investigated in the following works.
In [39] and [40], the energy and spectral efficiency trade-offs are studied in multicell heterogeneous wireless networks. The work in [39] aims to optimize both EE and SE by considering users’ data rates, while in [40], the authors propose to maximize EE at a cost of SE. Based on the derived trade-off, an algorithm is proposed to maximize EE with minimal sacrifice of SE. In addition to sacrificing SE, another major downside of the above-mentioned algorithms is a high level of complexity that reduces the overall system capacity.
In [41], a low-complexity algorithm is proposed by using UAVs. This strategy takes into consideration also the QoS requirements, such as users’ data rate and signal-to-noise and interference ratio (SINR). Another work that also exploits UAVs for offloading the network traffic is presented in [42]. Here, the authors propose a solution for jointly optimizing UAVs location, UAV-user association, resource allocation, and the load balancing between the two systems under the EE constraint. The main limitation of these works is that they do not take into account inter-tier interference, which is a very important issue in ultra-dense networks.
The problem of energy-efficient resource allocation in the orthogonal frequency division multiple access (OFDMA) system is also addressed in [43]. In this work, the BSs are grouped into clusters to cooperate to perform energy-efficient user scheduling and power control on the same radio spectrum. This algorithm also presents high computational complexity. In [44], authors propose a users’ association scheme based on cell traffic load. The users aim to enhance their transmission rate and this is achieved by being connected to the less loaded cells. This solution is proposed for a scenario consisting of only one macro cell, and also the users are assumed to be fixed in the scenario.
In [45], the resource allocation in a D2D HetNet is investigated under the QoS constraints, including the data rate of each user and Energy Harvesting (EH) constraints. The EH technique collects renewable energy from the environment and is crucial in 5G because it reduces energy consumption. The proposed algorithm presents high computational complexity since it addresses the problem through optimization using Lagrangian parameters. Also, the proposed algorithm uses only EH as the energy supply source, which can cause interruptions in the data transmission. Another algorithm that employs the EH technique is presented in [46]. This work adopts a hybrid energy supply unit at the BS, where harvested energy is utilized with higher priority. The EE is maximized under the QoS constraints using Lagrangian parameters and presenting high computational complexity. The authors in [47] propose a resource allocation scheme in a two-tier HetNet where BSs are powered by renewable energy sources and conventional grid. The proposed strategy aims to optimize the overall networks’ EE under QoS limitations. The complexity of the algorithm is high, as the scheme presents a significant overhead, making its use unrealistic in ultra dense networks. Another drawback of these solutions is that the EH technique imposes high replacement costs and limited gain for existing BSs.
In [48], two strategies are proposed for EE optimization. In the first part, the resource allocation is performed under the data rate constraints, and afterward, the users’ EE is calculated. The user with the lowest EE is selected, and an unoccupied subchannel with the largest channel gain is assigned to that user. This process is iterated until the number of unoccupied subchannels reaches zero. In [49], an allocation algorithm is proposed to maximize the EE under the data rate requirements. The number of subcarriers to be allocated to a particular user is based on the average SINR and bit rate received by that user. The algorithm addresses the problem through optimization using Lagrangian parameters. Also, in [50], a user association scheme based on the Lagrangian dual decomposition is proposed. Both algorithms present high complexity and are simulated in a scenario consisting of one macro cell. In [51], authors propose an energy-efficient joint resource allocation and user association scheme in a HetNet scenario. The proposed solution uses continuity relaxation and the Lagrange dual approach to address the problem. A dynamic energy-efficient-based approach is proposed for getting the optimum resource allocation. The proposed solution outperforms other general algorithms in terms of EE. This solution presents a high complexity. In [52], authors propose a novel iterative approach to address the issue of user association and power allocation in a three-tier HetNet scenario. Authors aim to enhance EE under the QoS requirements. This solution performs well in terms of throughput, power consumption, and EE and outperforms a baseline user association scheme developed for a two-tier HetNet scenario. However, this solution does not consider fairness. In [53], authors proposed a solution for maximizing the EE in a HetNet also considering D2D technology while minimizing the interference from D2D to cellular users. First, the user association is performed for cellular users based on maximum received power, and then a novel resource allocation method known as sequential max search is proposed for D2D users. However, the simulation results are not compared to other state-of-the-art solutions.
Another group of resource allocation algorithms tackles EE in HetNet based on Massive Multiple-Input, Multiple-Output (MIMO) technology. Massive MIMO can significantly improve system EE because BSs are equipped with a high number of antennas and serve a high number of users simultaneously, fully utilizing available space resources [54].
Energy-efficient power allocation for Massive MIMO is studied in [55], where a power allocation algorithm based on the water-filling power allocation scheme is proposed. However, in the proposed approach, the EE could have been further enhanced if a fairer scheme was used since the water-filling is a standard algorithm known to discriminate users with poor channel conditions. In addition, the proposed approach does not consider interference among users. The algorithm proposed in [56] also does not take into account the interference, and the system is simulated with a single macro cell. This work proposes a low-complexity algorithm for user association and power coordination by considering fairness requirements and capacity and power consumption constraints. Also, an optimal solution is proposed for the number of activated antennas on the massive MIMO setup.
Another approach to EE maximization is based on power management by switching inactive BSs or BSs with low traffic into sleep mode. The conventional sleep control schemes switch the BSs into sleep mode based only on the number of users associated with that particular BS. More advanced solutions based on this approach give better results in terms of EE, such as the solution proposed in [57], where the system throughput is considered as the decision criteria for switching the BSs into sleep mode. Also, in [58], three scenarios are introduced for enhancing EE by switching the BSs into sleep mode in a dense small cell 5G network. In the first scenario, to switch the BS to sleep mode, each user belonging to that BS must increase or reach his previous performance when associating to the new cell. In the second scenario, the overall data rate of the involved cells must increase or reach the previous performance for turning the selected BS to sleep mode. The last scenario considers the total network capacity, which should be greater than or equal to the previous network capacity to turn the BS to sleep mode. The simulations demonstrate that the second and the third scenarios are more efficient regarding energy consumption. A similar approach was also proposed in [59], where three EE optimization solutions are provided for three different scenarios. In [60], a small cell sleeping MEChanism is proposed to enhance EE in HetNets. The small cells located in the cell-edge area of a macro cell are switched into sleep mode. The users of the sleeping cells are covered by the range-expanded small cells located near the slept cells, and users that are located close to macro cells are served by the macro BSs. However, this paper considers a non-realistic scenario consisting of only one macro cell. The strategy of switching BSs into sleep mode is also employed in [61]. The numerical results showed that combining strategies for putting the BSs into sleep mode and spectrum allocation can reduce the power consumption and interference of the whole network. In this work, only the micro BSs are considered to be switched into sleep mode, even though the macro BSs are responsible for the largest amount of energy consumption.
Another group of algorithms targets fairness in their allocation strategies. Fairness is a key performance indicator for evaluating resource management. Jain’s fairness index [62] has been frequently used to assess the fairness level. The fairness level in resource allocation algorithms and its impact on network performance is presented in [63]. The fairness requirement in resource allocation schemes ensures that each user gets a fair share of the resources [64]. In wireless communication, fairness can be fulfilled by allocating a fair amount of resources to each user according to their QoS requirements.
Commonly used fairness rules in resource allocation problems include proportional fairness [65,66], weighted proportional fairness [67], and adaptive proportional fairness [68]. Priority-based scheduling, in contrast, ensures that users are served and utilize the resources based on their priority. Although implementing priorities makes the resource allocation process seem unfair, it can be seen as an extension of weighted fairness.
In [69], the authors studied two types of fairness: proportional fairness and max-min fairness for energy-efficient resource allocation. The EE is optimized under QoS and fairness constraints. The proposed solution presents high computational complexity. The problem of fairness in resource allocation in the OFDMA in the 5G networks is also discussed in [70]. The main goal of this research is the maximization of the total capacity of femtocells while fulfilling the fairness constraint, minimum throughput for delay-sensitive users, cross-tier interference threshold of femtocell HetNets, and exclusive property of OFDMA subchannels. This algorithm, however is implemented at the cost of high computational complexity. On the other hand, Reference [71] considers only delay constraints, ignoring other constraints and making this algorithm less fair compared with the previous work. A joint resource allocation and power allocation is proposed for EE maximization. The proposed algorithm takes into consideration the users’ data rate requirements but again presents a high level of complexity and does not consider inter-cell interference. To address the fairness requirement, authors in [72] propose an urgency value to be assigned to users depending on their requirements, which is used to determine which users are served first, making the algorithm fair for all users. The algorithm presents a good solution for solving the fairness problem but does not consider the EE target. Another fair algorithm is presented in [73], where spectrum resources are fairly allocated to users. The EH technique is employed in this solution, where users are equipped with EH modules, and a joint resource allocation algorithm for EH that focuses on fairness is proposed. In [74], a resource allocation algorithm that optimizes coverage and capacity is proposed. This algorithm also fulfills the fairness requirement; it improves upon the traditional proportional fairness algorithm by considering the user’s received signal power when assessing the user’s scheduling priority. It considers both received signal power and throughput when allocating resources. Another resource allocation algorithm that may be considered to be fair is proposed in [75]. The algorithm is designed for a downlink multicarrier non-orthogonal multiple access (NOMA) system to maximize the network capacity under proportional fairness constraints. These three algorithms proposed in [73–75] do not consider interference and introduce high complexity. The work on [76] aims to maximize the overall capacity in a scenario with heterogeneous QoS requirements. The problem is divided into two sub-problems: power allocation and spectrum allocation. The algorithm ensures that all QoS requirements are fairly satisfied. In [77], authors addressed the problem of fairness. Three fundamental tradeoffs of SE, EE, and fairness in ultra-dense networks are considered, and a model-driven learning algorithm is proposed for solving the nonconvex problem of resource allocation.
An EE aware joint resource and power allocation algorithm is proposed in [78]. A user grouping method is proposed by considering co-channel interference and channel conditions of different users. The proposed algorithm reduces the interference within the resource block and thus improves the system EE. After grouping the users, a power reallocation algorithm is applied to further improve the EE of the whole system. At the same time, the algorithm enhances SE and provides good fairness performance, but at a cost of high complexity. In [79], a resource allocation algorithm is proposed for enhancing EE. The problem of resource allocation is decomposed into two subproblems: subcarrier allocation and power allocation. To fulfill the fairness constraint, the subcarrier allocation is based on resource-proportional fairness for the given power allocation. This algorithm is tested in a scenario consisting of only one macro cell. In [80], authors proposed an algorithm that aims to maximize the network rate through resource allocation using the Q-learning technique. The authors aimed to propose a fair scheme but do not consider the cross-tier interference in their resource allocation strategy. In [81], a user association and power allocation scheme is proposed for a scenario of massive MIMO-enabled HetNets. This work aims to maximize the SE under proportional fairness and transmit power constraints. Simulation results prove that the proposed solution outperforms the max maximum signal received power (RSRP) and min RSRP algorithms regarding SE and load balancing.
A group of algorithms considers the guarantee of QoS requirements when allocating resources. QoS measures the networks’ performance related to a service. QoS is generally not linked to the user but to the content delivery or network support [82]. QoS is another rapidly growing optimization target, driven by the continued proliferation of advanced applications, such as online video streaming services, online gaming, smart transportation, network-controlled UAVs, remote telesurgery, smart city projects, etc. The resource allocation schemes may be used to address QoS requirements of such targets as ultra-low latency, ultra-high reliability, higher data rate, or any combination thereof. For instance, edge caching and edge computing have been largely believed to be fundamental supplements that enhance the above mentioned targets [83–85].
The importance of integrating edge caching and edge computing in future green communications is discussed in [86], and a framework for supporting data retrieval and computing services is proposed. This technology is employed by different resource allocation strategies for optimizing EE and reducing delays. In [83], a resource optimization problem is formulated as a joint optimization of radio and computational resources to minimize energy consumption under latency constraints. A multicell scenario is simulated where mobile users ask for computation offloading to a common cloud server. In [83], the edge computing technique is also used for minimizing energy consumption and reducing latency. A low-complexity algorithm is proposed for optimizing the users’ task offloading and transmit power allocation for a single-user mobile-edge computing system. Another solution that also exploits the EH technology for computational tasks on the mobile device side is presented in [85]. The edge server is also considered for improving execution latency. A low-complexity algorithm is proposed that optimizes the offloading decision and transmits power for computation offloading. The offloading decision is dependent only on the current system state without requiring the distribution of information on the computation task requests. In [87], an algorithm is proposed for minimizing the energy consumption of all users. The algorithm aims to jointly optimize the resource allocation, power control, and computation offloading for a mobile edge-based multi-user wireless communication system. The solution is provided by using the convex optimization method. The main drawback of these algorithms is that they do not take the interference target in their allocation strategy. In [88], a novel scenario is proposed where each access point is equipped with a MEC server. This work aims to optimize user association and resource allocation problems through a heuristic approach. Simulation results prove that the proposed strategy can achieve lower energy consumption within fewer iterations than other benchmarking schemes.
In [89], authors aim to improve the Quality of Experience (QoE) of users through the optimization of wireless resource allocation. A system model for user clustering is proposed, where users are combined based on QoS requirements. In this work only co-tier interference is addressed. In [90], authors proposed a low complexity user association and resource allocation scheme, for minimizing power consumption under the QoS requirements. The problem is divided into two sub-problems. For reducing the computational complexity, relaxation and decomposition techniques are applied. Furthermore, a low-complex iterative algorithm for power allocation is proposed based on the decomposition theory that converges quickly to the optimal solution. In [91], an energy-efficient user association scheme is proposed with the aim of interference mitigation in 5G HetNets. The user association is performed under the SINR, power usage, and user distance constraints. Simulation results prove that the proposed solution gives good results and improves the network performance. In [92], a fair resource allocation scheme is proposed for maximizing the SE of femtocells by using an optimal exhaustive search algorithm under the QoS constraints for macro users. A distributed and low-complexity algorithm is proposed for finding an efficient solution. In [93], authors propose a solution for user association and power allocation in macro BSs alone, coupled and decoupled HetNet, under the QoS constraints. An approximation approach is used for finding a near-optimal solution. From the simulation results, it is concluded that the proposed decoupled cell association method outperforms the standard coupled cell association scheme in terms of interference management and sum-rate maximization.
In [94], the authors present a combined resource and power allocation scheme in a HetNet scenario composed of a macro cell and a pico cell under the QoE requirements. They employ an advanced Kuhn-Munkres algorithm to match the subcarrier allocation technique. The simulation results prove that the proposed algorithm outperforms the average power allocation and PF algorithms. However, the simulation scenario is very simple, not considering all types of interference.
Another group of papers that aim to optimize the resource allocation process focuses on reducing computational complexity through resource allocation schemes. The massive number of BSs and users in dense networks is very challenging regarding computational complexity. The increased number of devices, including both BSs and users’ equipment, highly increases the number of possible combinations during user-BS association, leading to high computational complexity. To reduce the complexity during the resource allocation process, many research works choose to employ a heuristic approach. This is because the heuristic approach is very suitable to be used for solving optimization problems, especially for performing resource allocation since it presents low complexity. Some interesting examples are presented below.
In [95], specifically, the authors present a low complexity algorithm for enhancing EE through resource allocation, using the heuristic approach to reduce computational complexity. Users’ association is performed based on the users’ EE. Resource allocation in 5G heterogeneous networks is the topic in [96], where two different access schemes are analyzed using heuristic algorithms. The users are associated to the BS based on the strongest SINR. In [97], to address the interference in an enabled D2D heterogeneous cellular network with multi-band, the authors propose a heuristic algorithm for optimizing the uplink resource allocation. This group of algorithms however, does not address fairness aspects.
The algorithm proposed in [98] employs a heuristic approach for user association for optimizing EE. In this work, the BS adjusts its transmit power depending on the users’ QoS requirements. Users associate the BS that spends the smallest amount of power for satisfying the SINR requirement. However, this algorithm does not take into account cross-tier interference. In [99], authors propose an advanced bat algorithm for allocating the spectrum resource carriers based on heuristic, for maximizing EE under the QoS constraints. The algorithm presents low complexity but is simulated in a scenario consisting of only one macro cell.
The resource allocation problem is also addressed using Graph Theory, where the interference interactions can be presented as a graph [100,101]. The BS could be presented by the vertex in a graph, whereas the level of interference could be presented by the edge [102].
In [103], a joint optimization of users’ association, subchannel allocation and power allocation algorithm based on graph theory is proposed. In [104], graph theory is used to address the problem of user association and resource allocation. Loads of small BSs with varying capacities are balanced by adding congestion factors. The users choose to associate with the BS that maximizes its payoff (or minimizes its payment) individually. As a result, the technique achieves a distributed optimization. However, the suggested approach does not ensure user fairness, and it does not consider user demands for different types of traffic. On the other hand, the authors in [105] present a fair user association approach in HetNets based on cooperative graph theory that focuses on maximizing the utility of users. The proposed solution outperforms a throughput-oriented approach regarding fairness, data rate, load distribution, and convergence. In [106], the authors present a power allocation approach based on noncooperative graph theory in an ultra dense HetNet under the QoS constraints with the throughput balance between the access and backhaul links through predicting the number of linked users. The simulation results show that the proposed strategy effectively balances throughput between the two lines while fulfilling the predefined minimum rate. In [107], a user association scheme is proposed using matching theory in mmWave-enabled cellular HetNets. Authors propose an early acceptance technique, which has proven to be an efficient distributed matching technique for user association in 5G HetNets. Simulation results show that the proposed algorithm gives good results in terms of network throughput while substantially reducing complexity and overheads due to its distributed nature. In [108], authors presented a solution for interference management through resource allocation, using graph coloring techniques. The proposed algorithm assigns a weight value to each directed edge, indicating the interference strength from nearby BSs, and a weight value to each vertex, reflecting the color with the least interference or the highest transmission rate. Simulation results show that the proposed algorithm outperforms the benchmarking solutions regarding fairness and QoS parameters.
Recently, several works have proposed the use of Machine Learning (ML) techniques to facilitate the management of communication networks. The deep reinforcement learning (DRL) technique is considered a promising approach in resource management, especially in user association and resource allocation schemes, due to the low computational complexity [109]. DRL is an advanced version of reinforcement learning (RL) in which deep learning is utilized to increase the effectiveness of the learning rate for RL algorithms [110]. The significant potential of using DRL on resource allocation strategies in communication networks is demonstrated in [111] and [112]. The basic idea of RL is to learn the optimal policy for maximizing the cumulative rewards. DRL trains agents to select the optimal action, and after the training, the user association and resource allocation can be performed without a lot of calculation [113].
In [114], the authors propose an energy-efficient resource allocation scheme in a 5G heterogeneous cloud radio access network using ML techniques. The users are divided into two groups: users with high QoS requirements and users with low QoS requirements. The simulation results show that the proposed centralized online learning approach achieves good results in terms of EE, SE, and data rates. In [115], a DRL based algorithm for HetNet is proposed, with a centralized deep Q-network (DQN)-based user association scheme for enhancing the network capacity. In this scheme, a central agent globally determines the associations of all BSs and users at the same time. Also in [116], a user association scheme exploiting the distributed DRL agents is proposed, using the local channel information and the interference information of nearby users. In [117], a user association scheme based on multi-agent RL is proposed for maximizing the sum rate of the mmWave network. The scheme is simulated in a two-tier network (composed of small and macro cells) with multiple radio access technologies. On the other hand, authors in [118] proposed a decentralized user association technique based on multi-agent DRL to maximize the EE in ultra-dense networks. In [119], a joint user association and resource allocation centralized scheme is proposed to maximize the overall data rate of both cellular users and device to device pairs using RL. In this work, the scenario under consideration consists of only one microcell. In [120], a resource allocation scheme is proposed to jointly optimize the system capacity and power consumption, using the DRL technique in a two-tier HetNet. The performance of the scheme is evaluated in a scenario consisting of only one macro cell, meaning that interference constraints are not taken into account. In [121], a joint power and spectrum allocation scheme is proposed for maximizing the total transmission rate in an ultra dense network. In this work, a cooperative multi-agent DRL framework is proposed under the QoS constraints. The proposed solution is simulated in a simple scenario, not considering all types of interference. In [122], a joint user association and resource allocation scheme is proposed in a three-tier HetNet under QoS requirements. The authors proposed a distributed optimization method based on multi-agent RL. To solve the computationally expensive problem with the large action space a multi-agent DRL method is proposed. In [123], a distributed multi-agent learning based spectrum allocation strategy is proposed in a dense multi-tier HetNet scenario considering also D2D technology. D2D users learn about the wireless environment and autonomously select spectrum resources to maximize their throughput and SE. This solution performs well in terms of throughput and SE, while giving higher SINR values and causing minimal interference in cellular users. Finally, in [124], an RL-based resource allocation scheme is proposed in a scenario based on UAV BSs deployment for providing energy-efficient services to ground users. The proposed scheme is tested only for UAV BSs, ground BSs are not considered in the scenario.
The last group of algorithms discussed in this work aims to include the interference target in their resource allocation strategy. In dense networks, the challenge of interference escalates in complexity because of a considerable increase in the number of interfering BSs. Thus, interference needs to be taken into consideration while performing resource allocation as it affects all QoS parameters as well as the overall system performance. The authors in [72] propose to embed interference mitigation into the resource allocation procedure. In [125], authors proposed an algorithm where users are divided into center and edge users. The center users can utilize all the available frequency resources, while the edge users are allowed to use only orthogonal frequency resources to eliminate the interference between BSs. This algorithm mitigates the interference but at the cost of high complexity. In [126], a scheduling scheme of allocation, in the time and frequency domain, is proposed based on user priority. The SINR for each user is calculated, and if this ratio is higher than a predefined threshold, the user will get a higher priority to be allocated to the respective subcarrier. The resource allocation in the time domain is applied through the eICIC method using the ABS technique. Femtocells do not transmit during some subframes, therefore avoiding interference in macro cells. This algorithm does not consider the network EE. The coordination of interference between the cells of the same tier is analyzed in [127]. An ultra-dense scenario composed of only small cells is simulated. For this scenario, a distributed joint spectrum resource allocation strategy with power control is proposed for mitigating the interference from the second closet BS from the user, as the main source of interference. One disadvantage of this solution is its high complexity. The coordination of interference in a femtocells network is also analyzed in [128]. An identifying interference method is proposed, and then a resource optimization algorithm is formulated. The proposed algorithm in this work does not consider the fairness constraint. In [129], a two tier HetNet is simulated, and the problem of interference is settled based on the Stackelberg game. A cross-layer interference rejection and a high complexity resource allocation model for a two-tier HetNet is formulated. In [130], a solution is proposed to minimize the interference in femtocell networks. This solution divides the service area and frequency band into three sets by assigning each area a frequency set. After determining the location of the femto cell, a frequency is assigned according to cell placement. The proposed solution reduces the interference, and as a result, the SINR is increased, and throughput is improved. However, the proposed solution is simulated in a scenario with a small number of users. In [131], authors propose to divide users into two groups: center and edge users based on the distance from the three nearest BSs. To mitigate the interference, authors propose that users jointly be served by the two or three cooperating BSs. This algorithm also presents high complexity.
In the following works [132–134], only cross-tier interference is considered in resource allocation strategy. A novel interference management approach is proposed in [132]. The proposed algorithm splits the cell into spatial regions and allocates frequencies optimally to remove cross-tier interference. This algorithm is also extended for a multicellular network. In [133], an approach is presented to reduce the cross-tier interference in two-tier HetNets. The proposed solution divided the entire macro cell coverage area into three regions: inner, middle, and outside regions. Furthermore, the complete accessible spectrum is divided into four sub-bands. The first three sub-bands are shared between the inner and outer areas, while the fourth sub-band was further subdivided into three sub-bands, each used by the middle area. The unused sub-bands of each macrocell are assigned to femtocells. Work proposed in [134] aims to minimize cross-tier interference in a HetNet. The proposed approach employs the massive MIMO technology for constructing transmit and receive beamforming vectors that eliminate cross-tier interference at the user side. Simulation data shows that the proposed solution gives good results in terms of system aggregate rate.
Works presented in [135,136] consider both cross-tier and co-tier interference in their allocation strategy. In [135], authors investigated the interference issue in a 5G network, considering also D2D technology. This work aims to address both cross-tier and co-tier interference using three different methods, such as the New Hybrid Frequency Reuse (NHFR) with ABS method, the closed mode D2D method, and the combined method, including the two previous methods. In [136], authors propose an Edge-Aware Remote Radio Heads Cooperation (EARC) method for cell edge and non-cell edge devices. This algorithm presents a high computational complexity.
As discussed above, resource allocation algorithms typically target a single objective in their allocation strategy that they aim to follow and optimize. However, they often fail to adequately satisfy other targets that significantly impact the efficiency of the resulting resource allocation. Table 2 summarizes the reviewed works, indicating their target objectives and main techniques used.

While Table 2 provides a qualitative comparison between reviewed algorithms based on a thorough literature review, a quantitative comparison between a few selected algorithms is derived using numerical simulations. In particular, we selected two resource allocation algorithms (marked with bold in Table 2), proposed in [70] and [72], which consider more than one criterion while allocating resources. A comparative analysis of these algorithms with PF scheduling, a widespread resource allocation algorithm, is also conducted using numerical simulations on the Matlab platform.
The algorithm proposed in Reference [70] addresses the problem of resource allocation and user association using a convex optimization approach that presents a high computational complexity but offers an optimal solution. To our knowledge, there is a limited number of works that address these types of problems using standard optimization techniques due to the complexity of the problem, and those that do so tend to consider simplified scenarios with a limited number of BSs. The main target of the algorithm proposed in [70] is the SE optimization. This algorithm is tested in a scenario consisting of only one macro cell. On the other hand, the algorithm proposed in Reference [72] addresses the problem of resource allocation using a heuristics approach and offers a near-optimal solution but presents low complexity, which makes it more suitable to be applied in practice. The main target of the algorithm proposed in [72] is interference coordination. The selected algorithms follow two very different approaches to tackle the same problem of resource allocation and consider different constraints and targets in their procedure. We chose these two for comparison because they represent two different categories of algorithms and consider several aspects. Thus, we can derive several conclusions regarding the selected techniques and analyze how the selected approach and target can impact the algorithm’s performance. Finally, we also compare to the PF algorithm which, although relatively simple, has been adopted as a standardized approach to dealing with resource allocation in heterogeneous networks. Considering its widespread popularity, we consider it a necessary baseline for performance evaluation.
In addition, the three algorithms are also simulated with the eICIC technique to analyse the impact of this technique on resource allocation algorithms’ performance. A detailed description of the selected solutions is presented below.
3.1 Description of Selected Algorithms
The first algorithm [70] investigated in detail is the Iterative Resource Allocation algorithm (IRA) (Algorithm 1), designed for resource allocation in 5G networks. The algorithm considers users with heterogeneous QoS requirements simultaneously in OFDMA HetNets, intending to optimize SE, and also includes a fairness guarantee.

To achieve this goal, the picocell
The main steps of IRA are presented in Algorithm 2, where the following symbols mean:
•
•
•
The optimization process is repeated until the convergence is achieved.
The other algorithm we analyze, Interference Aware Scheduling (IAW) [72], follows a heuristic approach to optimize resource allocation, resulting in reduced complexity. In this work, the authors propose to embed interference mitigation in the resource allocation procedure, interference coordination being the first criterion of this algorithm. The algorithm aims to decide at each time step
The main steps of this algorithm are introduced below:

where
At each time step
To obtain an accurate picture of how different algorithms perform in identical conditions, in this section, we evaluate the performance of the selected algorithms by simulating a two-tier HetNet scenario. The scenario under consideration is modeled based on the urban deployment as defined by 3GPP technical specifications for future communication networks [137]. The scenario consists of several macro and micro/pico cells. The inter-site distance for macro BSs is set to 500 m. Users and pico BSs are distributed uniformly over the coverage area. The users are considered static during the simulation period, which is a reasonable assumption considering that the simulation period for one simulation run is 1 s. Data traffic is modeled according to the three categories of services that are delivered in 5G. Namely, we model three types of traffic to mimic the behavior of eMBB, uRLLC, and mMTC traffic [138], as follows:
• eMBB traffic is modeled as full buffer traffic, with content item sizes between 100 KB and 1 MB and deadline between 100 and 150 ms
• uRLLC traffic is modeled as intermittent (bursty) traffic with content sizes randomly chosen between 15–50 KB and deadlines 80 to 100 ms
• mMTC traffic is modeled as intermittent (bursty) traffic with content sizes randomly chosen between 5–15 KB and deadline 200 to 300 ms
Every 1 ms time slot, users request a content item randomly from one of the three categories, with random size and deadline depending on the category. During the simulation we then keep track of the amount downloaded for each user, including the serving BS and number of resources used. The network scenario is shown in Fig. 3, with macro and pico/micro BSs marked with black and red color, respectively, while users are marked with x markers.

Figure 3: Simulation scenario
We assume that all network nodes operate over a 10 MHz band; hence we have

This simulation scenario evaluates the performance of the two selected resource allocation algorithms (IRA, IAW) and the standard PF algorithm. The algorithms are simulated under the same conditions to enable us to conduct a comparative analysis regarding user data rate, request completion time, and percentage of successful requests. In addition, the algorithms are also compared in terms of EE, SE, and fairness. The simulation results are presented in the following section.
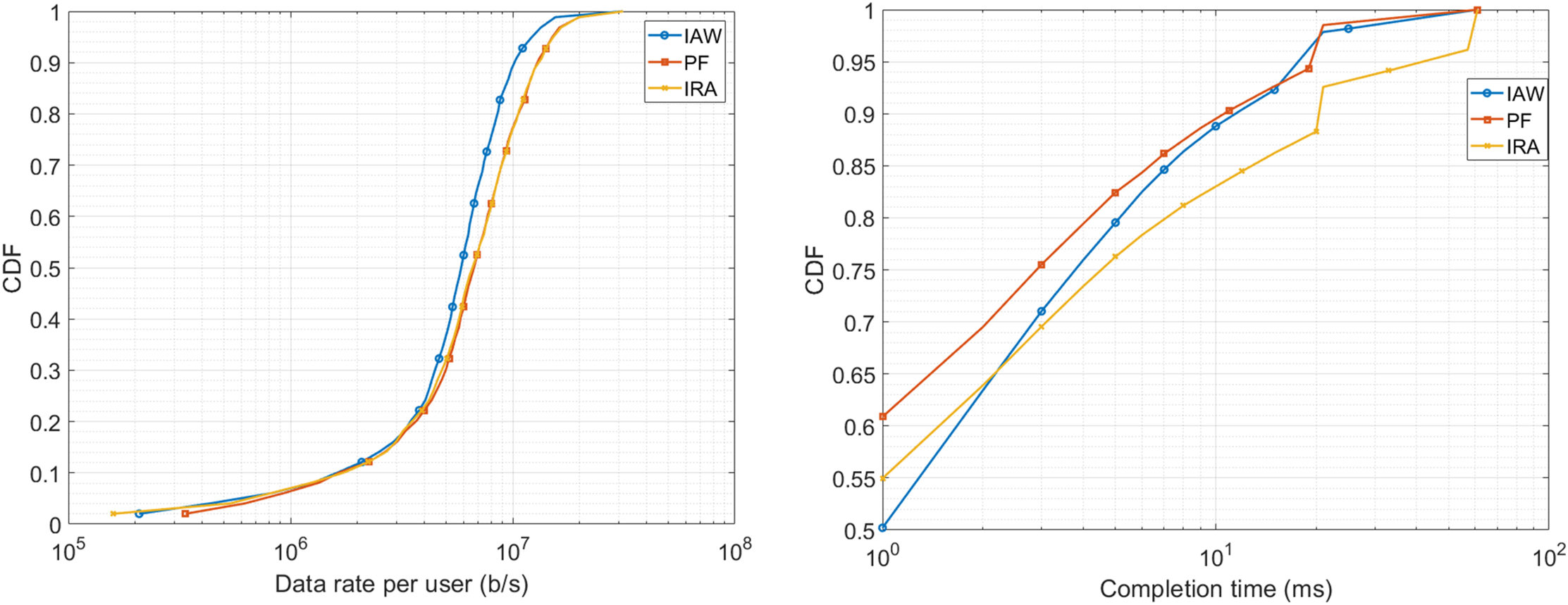
The first comparison between the three algorithms is presented in Fig. 4. In Fig. 4 (left), the algorithms are compared based on the average data rate per user. The figure shows the cumulative distribution function (CDF) curve of the individual user average data rate obtained using the three different algorithms. The PF and IRA algorithms perform almost identically in terms of this indicator and slightly better than the IAW algorithm. Both PF and IRA consider the data rate in their objective functions, while IAW only considers it indirectly in terms of its urgency parameter. It is interesting to note that although PF only considers fairness, it still offers shorter completion times per data flow, as can be seen in Fig. 4 (right). Note that PF offers, on average, 1 ms completion time for 60% of data flows, while IRA and IAW offer 1 ms completion time for 55% and 50% of data flows, respectively. Both IAW and IRA prioritize urgent traffic to some degree; therefore, this could contribute to the overall increase in completion time since uRLLC traffic, which appears only intermittently, is prioritized, interrupting ongoing eMBB traffic.

Figure 4: Comparison of algorithms in terms of average data rate per user (left); Comparison of the two algorithms in terms of completion time (right)
In Fig. 5 (left), we show the ratio of completed requests for the three different categories of traffic. PF and IAW perform quite similarly in terms of the indicator, guaranteeing the successful delivery of almost all uRLLC and mMTC traffic and around 80% of eMBB traffic. IRA performs slightly worse, in particular for uRLLC and mMTC traffic. In the right side plot of Fig. 5, we show the overall Jain fairness index for each algorithm. The Jain fairness index is calculated concerning the average user data rate using the following expression:
where

Figure 5: Comparison of algorithms in terms of successful requests per category: eMBB (blue), uRLLC (red) and mMTC (yellow) (left); Comparison of algorithms in terms of fairness (right)
It is surprising to note that IAW outperforms PF regarding this indicator. We recall that IAW attempts to minimize the overall interference caused by each transmission, and this, in turn, results in improved channel conditions for the edge users, thus increasing the overall fairness of the solution.
It should be noted that neither IAW nor IRA directly tackles fairness. However, the IAW algorithm assigns an urgency value to all requests based on the time before the delivery deadline expires. Based on this urgency value, the algorithm serves the users, which achieves a level of fairness comparable to the PF algorithm. The IRA algorithm divides users into two categories: Delay Sensitive (DS) users and Delay Tolerant (DT) users. Higher priority is given to DS users for providing uninterrupted service, while DT users are served with lower priority since they can tolerate delays. This achieves slightly lower levels of fairness than the other two algorithms, evaluated based on the Jain Fairness Index.
In Fig. 6, we compare two other important performance indicators, SE and EE. As expected, in terms of EE (shown in Fig. 6 (left)), IAW outperforms the two other algorithms, especially for pico cells. It is, therefore, evident that interference mitigation is important when optimizing heterogeneous networks. We note surprisingly that at the network level, IAW also outperforms in terms of SE, for macro cells in particular. We note that due to their pollution potential, macro cells are used sparingly when employing IAW, but as can be implied from these results, with high levels of SE. By contrast, IRA, which optimizes SE, does not perform as well in the presence of macro cells. We recall that IRA only optimizes SE for picocells, which is degraded significantly when macro cells are employed without any interference mitigation MEChanisms in place. When interference is embedded in the resource allocation strategy, the algorithms perform better than standard solutions in terms of energy and spectral efficiency. The IAW algorithm embeds interference coordination in its allocation strategy, while IRA optimizes the resource allocation procedure under only the cross-tier interference constraint. It should be noted that in general, improving EE, which requires BSs to use transmit power sparingly or intermittently, usually decreases the SE or the amount of bits that can be transmitted per Hz or RB due to the decrease in SINR. However, these results show that although there is a trade-off between SE and EE, it is possible to improve both metrics, in particular by employing efficient interference coordination or mitigation techniques.

Figure 6: Comparison of algorithms in terms of Energy Efficiency (left); Comparison of algorithms in terms of Spectral Efficiency (right)
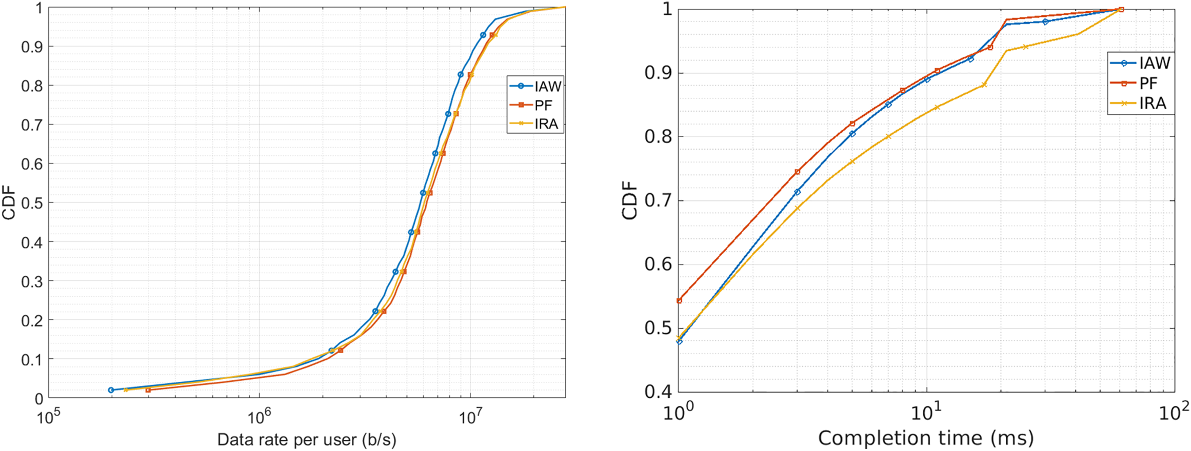
To evaluate the effect of interference coordination on the performance of the system, we also repeat the simulation scenario while applying eICIC, with ABS of 20%. The results are presented in Figs. 7–9. In terms of average user data rate (Fig. 7 (left)), we see very little difference from the previous results, with IAW experiencing some improvement as we notice that the gap in performance with the other two algorithms is narrower. In terms of request completion time (Fig. 7 (right)), we note a slight increase in completion times for PF and IRA, where we note that the percentage of requests that are completed within 1 ms now drops to 55% and 50%, respectively. In terms of successful requests (Fig. 8 (left)), we see that there is some improvement for uRLLC and mMTC traffic, especially using the IRA algorithm. In terms of fairness (Fig. 8 (right)), ABS improves the performance of both PF and IRA, validating our previous conclusion that the IAW algorithm ensures fairness in the system by using its inherent interference mitigation MEChanisms and does not need additional MEChanisms such as eICIC.

Figure 7: Comparison of algorithms in terms of data rate per user with 20% ABS (left); Comparison of algorithms in terms of completion time with 20% ABS (right)

Figure 8: Rate of successful requests per category: eMBB (blue), uRLLC (red) and mMTC (yellow) with 20% ABS (left); Comparison of algorithms in terms of fairness with 20% ABS with 20% ABS (right)

Figure 9: Comparison of algorithms in terms of Energy Efficiency with 20% ABS (left); Comparison of algorithms in terms of Spectral Efficiency with 20% ABS (right)
The most significant improvement when ABS is employed is noted in terms of EE and SE for pico cells. As expected, when macro cells are muted, the pico cells operate without any inter-tier interference and, therefore, with better efficiency, both in terms of power consumed, since they can deliver higher data rates at the same transmit power, as well as better SE, since they use the same number of RBs to deliver higher amounts of data, especially during the period when ABS is active and for the users that are served by pico cells. Therefore, we note there is an improvement across all three algorithms in these two indicators when ABS is active. This means that if the strategy of changing the macro cell mode (setting macros to idle mode) is included in the allocation strategy, the algorithms will perform better because users’ SINR will be increased since the number of interfering BSs will be reduced. In this case, also the EE and SE are enhanced, which is another important target in ultra-dense networks, especially in 5G and 6G.
Furthermore, we have presented the results in tables. Table 4 presents a comparison of the performance of the selected algorithms without and with the eICIC technique in terms of the percentage of users achieving a certain user rate and the percentage of users showing a certain completion time value. For example, in the case of the IAW algorithm, 79.5% of the users achieve values of completion time smaller than 5ms, meaning the other users experience completion time greater than 5 ms. When the eICIC technique is employed, 80% of the users achieve values of completion time smaller than 5 ms with the IAW algorithm.

Table 5 presents the percentage of successful requests differentiated for three types of traffic for the three algorithms. For example, the PF algorithm reaches a percentage of 81.17% of successful requests for eMBB traffic, while when the eICIC technique is applied, that percentage of successful requests for the same traffic raises to 81.44%.

Tables 6 and 7 present the maximum values for SE and EE, respectively, reached by each algorithm. The IRA algorithm reaches a maximum EE value of 2454.35 b/J at pico cells, while when eICIC is applied, the value increases at 2624.86 b/J.


As discussed in this paper, complexity is another major concern for resource allocation strategies. We can conclude that heuristics is a suitable approach to be followed, especially in ultra-dense networks when complexity is increased with the densification. Heuristic algorithms such as PF combined with eICIC or IAW algorithms could be scaled for use in future communication networks because, in general, they are less complex than convex optimization approaches such as the one used in IRA, and are more easily integrated with the use of emerging approaches such as machine learning.
On the one hand, the IRA algorithm could be adapted to be used for future small scale communication networks, especially for practical use cases where traffic prioritisation is required, such as uRLLC, since it takes into account user latency requirements. The concept could easily be extended, and user differentiation may be performed based on additional requirements. Since the 5G and 6G are known for heterogeneous users’ requirements, the algorithm could be a suitable approach for such scenarios.
The IAW can be implemented both centralized and distributed. In a distributed manner, the algorithm is performed independently for each cluster, consisting of three macrocells and 12 microcells. This makes it more suitable for application in large-scale networks, compared with IRA, which is only tested in a single-cell scenario.
Resource allocation in HetNets is a topic discussed in numerous research publications and continues to be a very intensive area of research in future communication networks. In this work, we offer a thorough review of the literature on the topic by comparing and contrasting dozens of proposed schemes in the literature in terms of their optimization objectives and approaches. In addition, we analyze three algorithms, two selected algorithms from the state-of-the-art and one standard algorithm, and compare their performance in wireless HetNets through numerical simulations. The IAW algorithm, which is developed for 4G heterogeneous networks and follows a heuristic approach; the IRA algorithm, which is designed for 5G HetNets and uses an optimization approach; and the PF algorithm, which is a standard algorithm used in practical wireless systems. All algorithms are executed in the same scenario and under the same conditions to facilitate a quantitative comparative analysis between the three algorithms.
The simulation results confirm that interference coordination is an important aspect of resource allocation strategies since it affects network performance and users’ QoS requirements. The IAW algorithm outperforms the IRA and PF algorithms regarding EE, SE, and fairness because it uses resources more sparingly but more efficiently.
Due to heterogeneous service requirements and strict delay tolerance required by technologies such as 5G and 6G, networks must perform satisfactorily regarding the rate of successful requests and fairness indices. We note that IAW performs better in terms of these two parameters, while for PF and IRA, the performance is improved by using additional interference MEChanisms such as ABS.
In this work, we also analyzed the effect of applying additional interference coordination techniques in conjunction with resource allocation algorithms. To do this, we repeated the simulation for the same network and scenario, but we applied the eICIC technique by setting the ABS to 20%. From the simulations, we concluded that the performance of the algorithms is improved when the ABS is set to 20% because the interference is reduced, compared to the results when the ABS is set to 0. The biggest improvement is noted in terms of EE and SE, which was expected since when macro cells are idle, less energy is consumed, and all active users are served by pico cells.
Finally, we can conclude that for resource allocation in ultra-dense HetNets, there is no single algorithm that guarantees the best performance in all relevant metrics. Thus, the type of resource allocation algorithms to be applied depends heavily on network performance requirements and parameter criteria. These, in 6G, for example, depend greatly on the concrete use case, targeted services, and technology choices when such a network is deployed. All these findings from this work, derived by comparing different resource allocation algorithms, can be applied by network operators and policymakers to design more efficient resource allocation strategies, resulting in a reduced cost. Fulfilling some of the network parameters while performing resource allocation, has a high impact on network performance. Network operators have to prioritize which goals are most important for their network topology to reach an optimal trade-off and achieve the desired performance.
Future research will be focused on further aspects of ultra-dense network scenarios, beginning with a deeper and more comprehensive analysis of resource allocation techniques for different scenarios. HetNets with more complex architectures will be considered, taking into account a wider variety of BSs that may not be fixed, such as UAVs. A deeper analysis of resource allocation in terms of EE and other pollution parameters, such as electromagnetic field exposure, also needs to be conducted, since they are topics of great interest in light of climate change.
Acknowledgement: This work was in part supported by the Slovenian Research and Innovation Agency (ARIS) within the Research Program P2-0425: “Decentralized Solutions for the Digitalization of Industry and Smart Cities and Communities”. This work was in part supported by the Ministry of Education, Science, Technology and Innovation of Republic of Kosovo through the annual small grant projects.
Funding Statement: This research received no specific grant from any funding agency in the public, commercial, or not-for-profit sectors.
Author Contributions: Conceptualization, Jeta Dobruna, Iztok Humar, Zana Limani Fazliu and Mojca Volk; methodology, Jeta Dobruna and Mojca Volk; software, Zana Limani Fazliu; validation, Jeta Dobruna, Zana Limani Fazliu and Mojca Volk; writing—original draft preparation, Jeta Dobruna; writing—review and editing, Jeta Dobruna, Iztok Humar, Zana Limani Fazliu and Mojca Volk; visualization, Jeta Dobruna; supervision, Mojca Volk. All authors reviewed the results and approved the final version of the manuscript.
Availability of Data and Materials: Data available upon request.
Ethics Approval: Not applicable.
Conflicts of Interest:: The authors declare no conflicts of interest to report regarding the present study.
References
1. Teng Y, Liu M, Yu FR, Leung VCM, Song M, Zhang Y. Resource allocation for ultra-dense networks: a survey, some research issues and challenges. IEEE Commun Surv Tutorials. 2019;21(3):2134–68. doi:10.1109/COMST.2018.2867268. [Google Scholar] [CrossRef]
2. Agiwal M, Roy A, Saxena N. Next generation 5G wireless networks: a comprehensive survey. IEEE Commun Surv Tutorials. 2016;18(3):1617–55. doi:10.1109/COMST.2016.2532458. [Google Scholar] [CrossRef]
3. Ercisson. Mobility report. 2024 Jun [cited 2024 Nov 20]. Available from: https://www.ericsson.com/en/reports-and-papers/mobility-report/reports/june-2024. [Google Scholar]
4. Chen W, Lin X, Lee J, Toskala A, Sun S, Chiasserini CF, et al. 5G-advanced toward 6G: past, present, and future. IEEE J Selected Areas Commun. 2023;41(6):1592–619. doi:10.1109/JSAC.2023.3274037. [Google Scholar] [CrossRef]
5. Karagiannis G, Altintas O, Ekici E, Heijenk G, Jarupan B, Lin K, et al. Vehicular networking: a survey and tutorial on requirements, architectures, challenges, standards and solutions. IEEE Commun Surv Tutorials. 2011;13(4):584–616. doi:10.1109/SURV.2011.061411.00019. [Google Scholar] [CrossRef]
6. Jameel F, Hamid Z, Jabeen F, Zeadally S, Javed MA. A survey of device-to-device communications: research issues and challenges. IEEE Commun Surv Tutorials. 2018;20(3):2133–68. doi:10.1109/COMST.2018.2828120. [Google Scholar] [CrossRef]
7. Wu G, Talwar S, Johnsson K, Himayat N, Johnson KD. M2M: from mobile to embedded internet. IEEE Commun Magaz. 2011;49(4):36–43. doi:10.1109/MCOM.2011.5741144. [Google Scholar] [CrossRef]
8. Al-Fuqaha A, Guizani M, Mohammadi M, Aledhari M, Ayyash M. Internet of things: a survey on enabling technologies, protocols, and applications. IEEE Commun Surv Tutorials. 2015;17(4):2347–76. doi:10.1109/COMST.2015.2444095. [Google Scholar] [CrossRef]
9. Checko A, Christiansen HL, Yan Y, Scolari L, Kardaras G, Berger MS, et al. Cloud RAN for mobile networks—a technology overview. IEEE Commun Surv Tutorials. 2015;17(1):405–26. doi:10.1109/COMST.2014.2355255. [Google Scholar] [CrossRef]
10. Jiang C, Cheng X, Gao H, Zhou X, Wan J. Toward computation offloading in edge computing: a survey. IEEE Access. 2019;7:131543–58. doi:10.1109/ACCESS.2019.2938660. [Google Scholar] [CrossRef]
11. Kumar K, Lu YH. Cloud computing for mobile users: can offloading computation save energy? Computer. 2010;43(4):51–6. doi:10.1109/MC.2010.98. [Google Scholar] [CrossRef]
12. Zeng Y, Zhang R, Lim TJ. Wireless communications with unmanned aerial vehicles: opportunities and challenges. IEEE Commun Magaz. 2016;54(5):36–42. doi:10.1109/MCOM.2016.7470933. [Google Scholar] [CrossRef]
13. Abdelwahab S, Hamdaoui B, Guizani M, Rayes A. Enabling smart cloud services through remote sensing: an internet of everything enabler. IEEE Internet Things J. 2014;1(3):276–88. doi:10.1109/JIOT.2014.2325071. [Google Scholar] [CrossRef]
14. Giordani M, Polese M, Mezzavilla M, Rangan S, Zorzi M. Toward 6G networks: use cases and technologies. IEEE Commun Magaz. 2020;58(3):55–61. doi:10.1109/MCOM.001.1900411. [Google Scholar] [CrossRef]
15. Kamble P, Shaikh AN. 6G wireless networks: vision, requirements, applications and challenges. In: 2022 5th International Conference on Advances in Science and Technology (ICAST); 2022; Mumbai, India; p. 577–581. doi:10.1109/ICAST55766.2022.10039549. [Google Scholar] [CrossRef]
16. Chen S, Zhao J. The requirements, challenges, and technologies for 5G of terrestrial mobile telecommunication. IEEE Commun Magaz. 2014;52(5):36–43. doi:10.1109/MCOM.2014.6815891. [Google Scholar] [CrossRef]
17. Osseiran A, Boccardi F, Braun V, Kusume K, Marsch P, Maternia M, et al. Scenarios for 5G mobile and wireless communications: the vision of the METIS project. IEEE Commun Magaz. 2014;52(5):26–35. doi:10.1109/MCOM.2014.6815890. [Google Scholar] [CrossRef]
18. Tong W, Zhu Peditors. 6G: the next horizon: from connected people and things to connected intelligence. Cambridge: Cambridge University Press; 2021. [Google Scholar]
19. 3GPP. Digital cellular telecommunications system (Phase 2+) (GSM); Universal Mobile Telecommunications System (UMTS); LTE; 5G; 2019. 3GPP TR 21.915 version 15.0.0 Release 15. Technical standards ETSI [cited 2024 Nov 20]. Available from: https://www.etsi.org/deliver/etsi_tr/121900_121999/121915/15.00.00_60/tr_121915v150000p.pdf. [Google Scholar]
20. Hossain MA, Hossain AR, Ansari N. AI in 6G: energy-efficient distributed machine learning for multilayer heterogeneous networks. IEEE Netw. 2022;36:84–91. doi:10.1109/MNET.104.2100422. [Google Scholar] [CrossRef]
21. Alzubaidi OTH, Hindia MN, Dimyati K, Noordin KA, Wahab ANA, Qamar F, et al. Interference challenges and management in B5G network design: a comprehensive review. Electronics. 2022;11(18):2842. doi:10.3390/electronics11182842. [Google Scholar] [CrossRef]
22. Jundhare MD, Kulkarni AV. An overview and current development of femtocells in 5G technology. In: 2016 IEEE International Conference on Advances in Electronics, Communication and Computer Technology (ICAECCT); 2016; Pune, India. doi:10.1109/ICAECCT.2016.7942583. [Google Scholar] [CrossRef]
23. Hasan Z, Boostanimehr H, Bhargava VK. Green cellular networks: a survey, some research issues and challenges. IEEE Commun Surv Tutorials. 2011;13(4):524–40. doi:10.1109/SURV.2011.092311.00031. [Google Scholar] [CrossRef]
24. Ghosh A, Mangalvedhe N, Ratasuk R, Mondal B, Cudak M, Visotsky E, et al. Heterogeneous cellular networks: from theory to practice. IEEE Commun Magaz. 2012;50(6):54–64. [Google Scholar]
25. Xu Y, Gui G, Gacanin H, Adachi F. A survey on resource allocation for 5G heterogeneous networks: current research, future trends, and challenges. IEEE Commun Surv Tutorials. 2021;23(2):668–95. doi:10.1109/COMST.2021.3059896. [Google Scholar] [CrossRef]
26. Zheng K, Fan B, Ma Z, Liu G, Shen X, Wang W. Multihop cellular networks toward LTE-advanced. IEEE Veh Technol Magaz. 2009;4(3):40–7. doi:10.1109/MVT.2009.933474. [Google Scholar] [CrossRef]
27. Zheng K, Fan B, Liu J, Lin Y, Wang W. Interference coordination for OFDM-based multihop LTE-advanced networks. IEEE Wirel Commun. 2011;18(1):54–63. doi:10.1109/MWC.2011.5714026. [Google Scholar] [CrossRef]
28. Acharya J, Gao L, Gaur S. An introduction to heterogeneous networks. In: Heterogeneous networks in LTE-advanced. USA: Wiley; 2014. p. 1–11. doi: 10.1002/9781118693964.ch1.2014. [Google Scholar] [CrossRef]
29. Agarwal B, Togou MA, Marco M, Muntean GM. A comprehensive survey on radio resource management in 5G HetNets: current solutions, future trends and open issues. IEEE Commun Surv Tutorials. 2022;24(4):2495–534. doi:10.1109/COMST.2022.3207967. [Google Scholar] [CrossRef]
30. Deb S, Monogioudis P, Miernik J, Seymour JP. Algorithms for enhanced inter-cell interference coordination (eICIC) in LTE HetNets. IEEE/ACM Trans Netw. 2014;22(1):137–50. doi:10.1109/TNET.2013.2246820. [Google Scholar] [CrossRef]
31. Stanczak S, Wiczanowski M, Boche H. Fundamentals of resource allocation in wireless networks. In: Foundations in signal processing communications and networking. Berlin: Springer; 2008. Vol. 3. [Google Scholar]
32. Lopez-Perez D, Guvenc I, de la Roche G, Kountouris M, Quek TQS, Zhang J. Enhanced intercell interference coordination challenges in heterogeneous networks. IEEE Wirel Commun. 2011;18(3):22–30. doi:10.1109/MWC.2011.5876497. [Google Scholar] [CrossRef]
33. Sesia S, Toufik I, Baker M editors. LTE—the UMTS long term evolution from theory to practice. UK: Wiley; 2011. [Google Scholar]
34. Alamu O, Gbenga-Ilori A, Adelabu M, Imoize A, Ladipo O. Energy efficiency techniques in ultra-dense wireless heterogeneous networks: an overview and outlook. Eng Sci Technol, Int J. 2020;23(6):1308–26. doi:10.1016/j.jestch.2020.05.001. [Google Scholar] [CrossRef]
35. Budzisz L, Ganji F, Rizzo G, Ajmone Marsan M, Meo M, Zhang Y, et al. Dynamic resource provisioning for energy efficiency in wireless access networks: a survey and an outlook. IEEE Commun Surv Tutorials. 2014;16(4):2259–85. doi:10.1109/COMST.2014.2329505. [Google Scholar] [CrossRef]
36. Hu RQ, Qian Y. An energy efficient and spectrum efficient wireless heterogeneous network framework for 5G systems. IEEE Commun Magaz. 2014;52(5):94–101. doi:10.1109/MCOM.2014.6815898. [Google Scholar] [CrossRef]
37. Mesodiakaki A, Adelantado F, Alonso L, Verikoukis C. Energy-efficient context-aware user association for outdoor small cell heterogeneous networks. In: 2014 IEEE International Conference on Communications (ICC); 2024; Sydney, NSW, Australia. doi:10.1109/ICC.2014.6883553. [Google Scholar] [CrossRef]
38. Su L, Yang C, Xu Z, Molisch AF. Energy-efficient downlink transmission with base station closing in small cell networks. In: 2013 IEEE International Conference on Acoustics, Speech and Signal Processing; 2013; Vancouver, BC, Canada. doi:10.1109/ICASSP.2013.6638569. [Google Scholar] [CrossRef]
39. Coskun CC, Ayanoglu E. Energy-spectral efficiency tradeoff for heterogeneous networks with QoS constraints. In: 2017 IEEE International Conference on Communications (ICC); 2017; Paris, France; p. 1–7. [Google Scholar]
40. Yang C, Li J, Ni Q, Anpalagan A, Guizani M. Interference-aware energy efficiency maximization in 5G ultra-dense networks. IEEE Trans Commun. 2017;65(2):728–39. doi:10.1109/TCOMM.2016.2638906. [Google Scholar] [CrossRef]
41. Manzoor A, Kim DH, Hong CS. Energy efficient resource allocation in UAV-based heterogeneous networks. In: 2019 20th Asia-Pacific Network Operations and Management Symposium (APNOMS); 2019; Matsue, Japan. doi:10.23919/APNOMS.2019.8892933. [Google Scholar] [CrossRef]
42. Li Y, Xu S, Wu Y, Li D. Network energy-efficiency maximization in UAV-enabled air-ground-integrated deployment. IEEE Internet Things J. 2022;9(15):13209–22. doi:10.1109/JIOT.2022.3142073. [Google Scholar] [CrossRef]
43. Venturino L, Zappone A, Risi C, Buzzi S. Energy-efficient scheduling and power allocation in downlink OFDMA networks with base station coordination. IEEE Trans Wirel Commun. 2015;14(1):1–14. doi:10.1109/TWC.2014.2323971. [Google Scholar] [CrossRef]
44. Mughees A, Tahir M, Sheikh MA, Ahad A. Energy-efficient load-aware user association in ultra-dense wireless network. In: 2021 26th IEEE Asia-Pacific Conference on Communications (APCC); 2021; Kuala Lumpur, Malaysia. doi:10.1109/APCC49754.2021.96098100. [Google Scholar] [CrossRef]
45. Kuang Z, Liu G, Li G, Deng X. Energy efficient resource allocation algorithm in energy harvesting-based D2D heterogeneous networks. IEEE Internet Things J. 2019;6(1):557–67. doi:10.1109/JIOT.2018.2842738. [Google Scholar] [CrossRef]
46. Pang L, Zhao H, Zhang Y, Chen Y, Lu Z, Wang A, et al. Energy-efficient resource optimization for hybrid energy harvesting massive MIMO systems. IEEE Syst J. 2022;16(1):1616–26. doi:10.1109/JSYST.2021.3074542. [Google Scholar] [CrossRef]
47. Xu B, Chen Y, Carrión JR, Zhang T. Resource allocation in energy-cooperation enabled two-tier NOMA HetNets toward green 5G. IEEE J Selected Areas Commun. 2017;35(12):2758–70. doi:10.1109/JSAC.2017.2726398. [Google Scholar] [CrossRef]
48. Mohammadian Z, Dehghani MJ, Eslami M. Efficient resource allocation algorithms for high energy efficiency with fairness among users in OFDMA networks. Eng Sci Technol. 2020;23(5):982–8. doi:10.1016/j.jestch.2020.01.003. [Google Scholar] [CrossRef]
49. Dong Z, Wei J, Chen X, Zheng P. Energy efficiency optimization and resource allocation of cross-layer broadband wireless communication system. IEEE Access. 2020;8:50740–54. doi:10.1109/ACCESS.2020.2978034. [Google Scholar] [CrossRef]
50. Fang F, Ye G, Zhang H, Cheng J, Leung VCM. Energy-efficient joint user association and power allocation in a heterogeneous network. IEEE Trans Wirel Commun. 2020;19(11):7008–20. doi:10.1109/TWC.2020.2996628. [Google Scholar] [CrossRef]
51. Chai G, Wu W, Yang Q, Kwak KS. Energy-efficient joint resource allocation and user association for heterogeneous wireless networks with multi-homed user equipments. In: 2019 IEEE 89th Vehicular Technology Conference (VTC2019-Spring); 2019; Kuala Lumpur, Malaysia. doi:10.1109/VTCSpring.2019.8746626. [Google Scholar] [CrossRef]
52. Aboagye S, Ibrahim A, Ngatched TMN, Dobre OA. VLC in future heterogeneous networks: energy- and spectral-efficiency optimization. In: ICC 2020—2020 IEEE International Conference on Communications (ICC); 2020; ICC, Dublin, Ireland. doi:10.1109/ICC40277.2020.9148909. [Google Scholar] [CrossRef]
53. Algedir A, Refai HH. A user association and energy efficiency analysis of D2D communication under HetNets. In: 2018 14th International Wireless Communications & Mobile Computing Conference (IWCMC); 2018; Limassol, Cyprus. doi:10.1109/IWCMC.2018.8450299. [Google Scholar] [CrossRef]
54. Buzzi S, I. CL, Klein TE, Poor HV, Yang C, Zappone A. A survey of energy-efficient techniques for 5G networks and challenges ahead. IEEE J Selected Areas Commun. 2016;34(4):697–709. doi:10.1109/JSAC.2016.2550338. [Google Scholar] [CrossRef]
55. Honggui D, Jinli Y, Gang L. Enhanced energy efficient power allocation algorithm for massive MIMO systems. In: 2019 IEEE 11th International Conference on Communication Software and Networks (ICCSN); 2019; Chongqing, China. doi:10.1109/ICCSN.2019.8905368. [Google Scholar] [CrossRef]
56. Hao Y, Ni Q, Li H, Hou S. On the energy and spectral efficiency tradeoff in massive MIMO-enabled HetNets with capacity-constrained backhaul links. IEEE Trans Commun. 2017;65(11):4720–33. doi:10.1109/TCOMM.2017.2730867. [Google Scholar] [CrossRef]
57. Dataesatu A, Boonsrimuang P, Mori K, Boonsrimuang P. Energy efficiency enhancement in 5G heterogeneous cellular networks using system throughput based sleep control scheme. In: 2020 2nd International Conference on Advanced Communication Technology (ICACT); 2020; Phoenix Park, Republic of Korea. doi:10.23919/ICACT48636.2020.9061476. [Google Scholar] [CrossRef]
58. Bouras C, Diles G, Ntoutsos D. Sleep mode strategies for dense small cell 5G networks. In: 2018 10th International Congress on Ultra Modern Telecommunications and Control Systems and Workshops (ICUMT); 2018; Moscow, Russia. doi:10.1109/ICUMT.2018.8631203. [Google Scholar] [CrossRef]
59. Zhao Q, Gerla M. Energy efficiency enhancement in 5G mobile wireless networks. In: 2019 IEEE 20th International Symposium on “A World of Wireless, Mobile and Multimedia Networks” (WoWMoM); 2019; Washington, DC, USA. doi:10.1109/WoWMoM.2019.8792998. [Google Scholar] [CrossRef]
60. Tao R, Liu W, Chu X, Zhang J. An energy saving small cell sleeping mechanism with cell range expansion in heterogeneous networks. IEEE Trans Wirel Commun. 2019;18(5):2451–63. doi:10.1109/TWC.2019.2895028. [Google Scholar] [CrossRef]
61. Qiaoshou Liu JS. Base station sleep and spectrum allocation in heterogeneous ultra-dense networks. Wirel Pers Commun. 2018;98:3611–27. doi:10.1007/s11277-017-5031-4. [Google Scholar] [CrossRef]
62. Jain Reditor. The art of computer systems performance analysis: techniques for experimental design, measurement, simulation, and modeling. UK: Wiley; 1991. [Google Scholar]
63. Haryadi S, Aryanti DR. The fairness of resource allocation and its impact on the 5G ultra-dense cellular network performance. In: 2017 11th International Conference on Telecommunication Systems Services and Applications (TSSA); 2017; Lombok, Indonesia. doi:10.1109/TSSA.2017.8272913. [Google Scholar] [CrossRef]
64. Shi H, Prasad RV, Onur E, Niemegeers IGMM. Fairness in wireless networks: issues, measures and challenges. IEEE Commun Surv Tutorials. 2014;16(1):5–24. doi:10.1109/SURV.2013.050113.00015. [Google Scholar] [CrossRef]
65. Xu J, Wang J, Zhu Y, Yang Y, Zheng X, Wang S, et al. Cooperative distributed optimization for the hyper-dense small cell deployment. IEEE Commun Magaz. 2014;52(5):61–7. doi:10.1109/MCOM.2014.6815894. [Google Scholar] [CrossRef]
66. Chuang MC, Chen MC, Lin YH. SDN-based resource allocation scheme in ultra-dense OFDMA smallcell networks. In: 2016 International Conference on Advanced Materials for Science and Engineering (ICAMSE); 2016; Tainan, Taiwan. doi:10.1109/ICAMSE.2016.7840188. [Google Scholar] [CrossRef]
67. Hamda S, Pischella M, Roviras D, Bouallegue R. Analysis of weighted proportional fair resource allocation for uplink OFDMA. In: 2013 IEEE 78th Vehicular Technology Conference (VTC Fall); 2013; Las Vegas, NV, USA. doi:10.1109/VTCFall.2013.6692105. [Google Scholar] [CrossRef]
68. Wang S, Huang F, Wang C. Adaptive proportional fairness resource allocation for OFDM-based cognitive radio networks. Wirel Netw. 2013;19(3):273–84. doi:10.1007/s11276-012-0465-9. [Google Scholar] [CrossRef]
69. Ding H, Zhao F, Tian J, Zhang H. Fairness-driven energy efficient resource allocation in uplink MIMO enabled HetNets. IEEE Access. 2020;8:37229–41. doi:10.1109/ACCESS.2020.2975301. [Google Scholar] [CrossRef]
70. Le NT, Jayalath D, Coetzee J. Spectral-efficient resource allocation for mixed services in OFDMA-based 5G heterogeneous networks. Trans Emerg Telecomm Technol. 2018;29(1):5640. doi:10.1002/ett.3267. [Google Scholar] [CrossRef]
71. Yang K, Martin S, Quadri D, Wu J, Feng G. Energy-efficient downlink resource allocation in heterogeneous OFDMA networks. IEEE Trans Veh Technol. 2017;66(6):5086–98. doi:10.1109/TVT.2016.2624022. [Google Scholar] [CrossRef]
72. Limani Z, Chiasserini CF, Dell’Aera GM. Interference-aware resource scheduling in LTE HetNets with carrier aggregation support. In: 2015 IEEE International Conference on Communications (ICC); 2015; London, UK. doi:10.1109/ICC.2015.7248806. [Google Scholar] [CrossRef]
73. Wang P, Yang K, Mei H. Joint resource allocation algorithm for energy harvest-based D2D communication underlaying cellular networks considering fairness. IEEE Commun Letters. 2023;27(4):1200–4. doi:10.1109/LCOMM.2023.3244749. [Google Scholar] [CrossRef]
74. Zhao P, Feng L, Yu P, Li W, Qiu X. A fairness resource allocation algorithm for coverage and capacity optimization in wireless self-organized network. China Commun. 2018;15(11):10–24. doi:10.1109/CC.2018.8543045. [Google Scholar] [CrossRef]
75. Wang CL, Hung CW. Proportional-fairness resource allocation for a downlink multicarrier noma system. In: 14th International Conference on Signal Processing and Communication Systems (ICSPCS); 2020; Adelaide, SA, Australia. doi:10.1109/ICSPCS50536.2020.9310054. [Google Scholar] [CrossRef]
76. Cao J, Zhang X. Fairness based resource allocation strategy towards heterogeneous QoS requirement. In: 2021 IEEE International Conference on Power, Intelligent Computing and Systems (ICPICS); 2021; Shenyang, China. doi:10.1109/ICPICS52425.2021.9524120. [Google Scholar] [CrossRef]
77. Liao X, Shi J, Li Z, Zhang L, Xia B. A model-driven deep reinforcement learning heuristic algorithm for resource allocation in ultra-dense cellular networks. IEEE Trans Veh Technol. 2020;69(1):983–97. doi:10.1109/TVT.2019.2954538. [Google Scholar] [CrossRef]
78. Wu X, Ma Z, Chen X, Labeau F, Han S. Energy efficiency-aware joint resource allocation and power allocation in multi-user beamforming. IEEE Trans Veh Technol. 2019;68(5):4824–33. doi:10.1109/TVT.2019.2905251. [Google Scholar] [CrossRef]
79. Gao J, Ren Q, Gu P, Song X. Energy-efficient resource allocation in ultra-dense networks. In: ICCIP ’19: Proceedings of the 5th International Conference on Communication and Information Processing (ICCIP ’19); 2020; New York, NY, USA: Association for Computing Machinery. p. 216–20. doi:10.1145/3369985.3369987. [Google Scholar] [CrossRef]
80. Suknum S, Thoasiri C, Jinaporn N. Q-learning-based resource allocation in heterogeneous cellular networks. In: 2022 International Electrical Engineering Congress (iEECON); 2022; Khon Kaen, Thailand; p. 1–3. [Google Scholar]
81. Lin Y, Wang Y, Li C, Huang Y, Yang L. Joint design of user association and power allocation with proportional fairness in massive MIMO HetNets. IEEE Access. 2017;5:6560–9. doi:10.1109/ACCESS.2017.2695572. [Google Scholar] [CrossRef]
82. Agarwal B, Togou MA, Ruffini M, Muntean GM. Mitigating the impact of cross-tier interference on quality in heterogeneous cellular networks. In: 2020 IEEE 45th Conference on Local Computer Networks (LCN); 2020; Sydney, NSW, Australia. doi:10.1109/LCN48667.2020.9314834. [Google Scholar] [CrossRef]
83. Sardellitti S, Scutari G, Barbarossa S. Joint optimization of radio and computational resources for multicell mobile-edge computing. IEEE Trans Signal Inf Processing Over Netw. 2015;1(2):89–103. doi:10.1109/TSIPN.2015.2448520. [Google Scholar] [CrossRef]
84. Mao Y, Zhang J, Letaief KB. Joint task offloading scheduling and transmit power allocation for mobile-edge computing systems. In: 2017 IEEE Wireless Communications and Networking Conference (WCNC); 2017; San Francisco, CA, USA. doi:10.1109/WCNC.2017.7925615. [Google Scholar] [CrossRef]
85. Mao Y, Zhang J, Letaief KB. Dynamic computation offloading for mobile-edge computing with energy harvesting devices. IEEE J Selected Areas Commun. 2016;34(12):3590–605. doi:10.1109/JSAC.2016.2611964. [Google Scholar] [CrossRef]
86. Huo R, Yu FR, Huang T, Xie R, Liu J, Leung VCM, et al. Software defined networking, caching, and computing for green wireless networks. IEEE Commun Magaz. 2016;54(11):185–93. doi:10.1109/MCOM.2016.1600485CM. [Google Scholar] [CrossRef]
87. Yang Z, Xie J, Gao J, Chen Z, Jia Y. Joint optimization of wireless resource allocation and task partition for mobile edge computing. In: 2020 IEEE/CIC International Conference on Communications in China (ICCC); 2020; Chongqing, China. doi:10.1109/ICCC49849.2020.9238820. [Google Scholar] [CrossRef]
88. Xu C, Zheng G, Tang L. Energy-aware user association for NOMA-based mobile edge computing using matching-coalition game. IEEE Access. 2020;8:61943–55. doi:10.1109/ACCESS.2020.2984798. [Google Scholar] [CrossRef]
89. Liu H. Research on resource allocation and optimization technology in 5G communication network. In:2022 2nd International Conference on Consumer Electronics and Computer Engineering (ICCECE); 2022; Guangzhou, China. doi:10.1109/ICCECE54139.2022.9712674. [Google Scholar] [CrossRef]
90. Sokun HU, Gohary RH, Yanikomeroglu H. A novel approach for QoS-aware joint user association, resource block and discrete power allocation in HetNets. IEEE Trans Wirel Commun. 2017;16(11):7603–18. doi:10.1109/TWC.2017.2751467. [Google Scholar] [CrossRef]
91. Achki S, Aziz L, Gharnati F, Ait Ouahman A. User association strategy for energy efficiency and interference mitigation of heterogeneous networks. Adv Mater Sci Eng. 2020;2020(1):7018727. doi:10.1155/2020/7018727. [Google Scholar] [CrossRef]
92. Nguyen Ha V, Bao Le L. Fair resource allocation for OFDMA femtocell networks with macrocell protection. IEEE Trans Veh Technol. 2014;63(3):1388–401. [Google Scholar]
93. Khan HZ, Ali M, Naeem M, Rashid I, Siddiqui AM, Imran M, et al. Resource allocation and throughput maximization in decoupled 5G. In: 2020 IEEE Wireless Communications and Networking Conference (WCNCSeoul, Republic of Korea; 2020; pp. 1–6. doi:10.1109/WCNC45663.2020.9120853. [Google Scholar] [CrossRef]
94. Wang N, Fei Z, Kuang J. QoE-aware resource allocation for mixed traffics in heterogeneous networks based on Kuhn-Munkres algorithm. In: 2016 IEEE International Conference on Communication Systems (ICCS); 2016; Shenzhen, China. doi:10.1109/ICCS.2016.7833650. [Google Scholar] [CrossRef]
95. Hsu CC, Chang JM. Spectrum-energy efficiency optimization for downlink LTE-A for heterogeneous networks. IEEE Trans Mobile Comput. 2017;16(5):1449–61. doi:10.1109/TMC.2016.2584046. [Google Scholar] [CrossRef]
96. Khan HZ, Ali M, Naeem M, Rashid I, Imran M. Resource allocation in 5G heterogeneous networks with downlink-uplink decoupled access. Trans Emerg Telecomm Technol. 2020;31(3):e3831. doi:10.1002/ett.3831. [Google Scholar] [CrossRef]
97. Chen Y, Ai B, Niu Y, He R, Zhong Z, Han Z. Resource allocation for device-to-device communications in multi-cell multi-band heterogeneous cellular networks. IEEE Trans Veh Technol. 2019;68(5):4760–73. [Google Scholar]
98. Ding H, Zhang H, Tian J, Xu S, Yuan D. Energy efficient user association and power control for dense heterogeneous networks. In: 2018 International Conference on Computing, Networking and Communications (ICNC); 2018; Maui, HI, USA. doi:10.1109/ICCNC.2018.8390284. [Google Scholar] [CrossRef]
99. Yang L, Zhu F, Liu X, Lai W, Li W, Lyu S. Enhanced bat algorithm for resource allocation in wireless heterogeneous networks. In: 2021 31st International Telecommunication Networks and Applications Conference (ITNAC); 2021; Sydney, Australia; p. 98–103. doi:10.1109/ITNAC53136.2021.9652170.2021. [Google Scholar] [CrossRef]
100. Peng M, Wang C, Li J, Xiang H, Lau V. Recent advances in underlay heterogeneous networks: interference control, resource allocation, and self-organization. IEEE Commun Surv Tutorials. 2015;17(2):700–29. doi:10.1109/COMST.2015.2416772. [Google Scholar] [CrossRef]
101. Liu D, Wang L, Chen Y, Elkashlan M, Wong KK, Schober R, et al. User Association in 5G Networks: a Survey and an Outlook. IEEE Commun Surv Tutorials. 2016;18(2):1018–44. doi:10.1109/COMST.2016.2516538. [Google Scholar] [CrossRef]
102. Trestian R, Ormond O, Muntean GM. Game theory-based network selection: solutions and challenges; 2012. IEEE Commun Surv Tutorials. 2012;14(4):1212–31. doi:10.1109/SURV.2012.010912.00081. [Google Scholar] [CrossRef]
103. Wang F, Chen W, Tang H, Wu Q. Joint optimization of user association, subchannel allocation, and power allocation in multi-cell multi-association OFDMA heterogeneous networks. IEEE Trans Commun. 2017;65(6):2672–84. [Google Scholar]
104. Zhong L, Li M, Cao Y, Jiang T. Stable user association and resource allocation based on stackelberg game in backhaul-constrained HetNets. IEEE Trans Veh Technol. 2019;68(10):10239–51. [Google Scholar]
105. Sadeghi E, Behroozi H, Rini S. Fairness-oriented user association in HetNets using bargaining game theory. 2020. doi:10.48550/arXiv.2011.04801. [Google Scholar] [CrossRef]
106. Khodmi A, Rejeb SB, Agoulmine N, Choukair Z. A joint power allocation and user association based on non-cooperative game theory in an heterogeneous ultra-dense network. IEEE Access. 2019;7:111790–800. doi:10.1109/ACCESS.2019.2933737. [Google Scholar] [CrossRef]
107. Alizadeh A, Vu M. Early acceptance matching game for user association in 5G cellular HetNets. In: 2019 IEEE Global Communications Conference (GLOBECOM); 2019; Waikoloa, HI, USA. doi:10.1109/GLOBECOM38437.2019.9013871. [Google Scholar] [CrossRef]
108. Agarwal B, Togou MA, Ruffini M, Muntean GM. A fairness-driven resource allocation scheme based on a weighted interference graph in HetNets. In: 2021 IEEE International Symposium on Broadband Multimedia Systems and Broadcasting (BMSB); 2021; Chengdu, China. doi:10.1109/BMSB53066.2021.9547096. [Google Scholar] [CrossRef]
109. Cheng P, Chen Y, Ding M, Chen Z, Liu S, Chen YPP. Deep reinforcement learning for online resource allocation in IoT networks: technology, development, and future challenges. IEEE Commun Magaz. 2023;61(6):111–7. doi:10.1109/MCOM.001.2200526. [Google Scholar] [CrossRef]
110. Luong NC, Wang P, Niyato D, Liang YC, Han Z, Hou F. Applications of economic and pricing models for resource management in 5G wireless networks: a survey. IEEE Commun Surv Tutorials. 2019;21(4):3298–339. doi:10.1109/COMST.2018.2870996. [Google Scholar] [CrossRef]
111. Bhardwaj R, Kanth BS, Joon RK, Navyata, Ahmad KSF, Dineshnath G. Application of deep reinforcement learning techniques to optimise resource allocation in wireless communication systems. In: 2024 International Conference on Advances in Computing, Communication and Applied Informatics (ACCAI); 2024; Chennai, India. doi:10.1109/ACCAI61061.2024.10602210. [Google Scholar] [CrossRef]
112. Vivekanand CV, Talele G, Jaishanthi B, S HG, Maheswari K, Uma Maheswari B. Deep reinforcement learning for resource allocation in wireless communication systems. In: 2024 Ninth International Conference on Science Technology Engineering and Mathematics (ICONSTEM); 2024; Chennai, India. doi:10.1109/ICONSTEM60960.2024.10568620. [Google Scholar] [CrossRef]
113. Jia J, Wang W. Review of reinforcement learning research. In: 2020 35th Youth Academic Annual Conference of Chinese Association of Automation (YAC); 2020; Zhanjiang, China. p. 186–191. doi:10.1109/YAC51587.2020.9337653. [Google Scholar] [CrossRef]
114. AlQerm I, Shihada B. Enhanced machine learning scheme for energy efficient resource allocation in 5G heterogeneous cloud radio access networks. In: 2017 IEEE 28th Annual International Symposium on Personal, Indoor, and Mobile Radio Communications (PIMRC); 2017; Montreal, QC, Canada. doi:10.1109/PIMRC.2017.8292227. [Google Scholar] [CrossRef]
115. Li Z, Chen M, Wang K, Pan C, Huang N, Hu Y. Parallel deep reinforcement learning based online user association optimization in heterogeneous networks. In: 2020 IEEE International Conference on Communications Workshops (ICC Workshops); 2020; Dublin, Ireland. doi:10.1109/ICCWorkshops49005.2020.9145209. [Google Scholar] [CrossRef]
116. Zhang Q, Liang YC, Poor HV. Intelligent user association for symbiotic radio networks using deep reinforcement learning. IEEE Trans Wirel Commun. 2019;19(7):4535–48. doi:10.1109/TWC.2020.2984758. [Google Scholar] [CrossRef]
117. Sana M, De Domenico A, Yu W, Lostanlen Y, Calvanese Strinati E. Multi-Agent Reinforcement learning for adaptive user association in dynamic mmWave networks. IEEE Trans Wirel Commun. 2020;19(10):6520–34. [Google Scholar]
118. Moon J, Kim S, Ju H, Shim B. Energy-efficient user association in mmWave/THz ultra-dense network via multi-agent deep reinforcement learning. IEEE Trans Green Commun Netw. 2023;7(2):692–706. doi:10.1109/TGCN.2023.3237210. [Google Scholar] [CrossRef]
119. Kai C, Meng X, Mei L, Huang W. Deep reinforcement learning based user association and resource allocation for D2D-enabled wireless networks. In: 2021 IEEE/CIC International Conference on Communications in China (ICCC); 2021; Xiamen, China. doi:10.1109/ICCC52777.2021.9580261. [Google Scholar] [CrossRef]
120. Zhao X, Cao Y, Chen H, Huang Z, Wang D. Multi-objective resource allocation based on deep reinforcement learning in HetNets. In: 2022 IEEE 8th International Conference on Computer and Communications (ICCC); 2022; Chengdu, China. doi:10.1109/ICCC56324.2022.10065879. [Google Scholar] [CrossRef]
121. Huangi R, Si J, Shi J, Li Z. Deep-reinforcement-learning-based resource allocation in ultra-dense network. In: 2021 13th International Conference on Wireless Communications and Signal Processing (WCSP); 2021; Changsha, China. doi:10.1109/WCSP52459.2021.9613186. [Google Scholar] [CrossRef]
122. Zhao N, Liang YC, Niyato D, Pei Y, Wu M, Jiang Y. Deep reinforcement learning for user association and resource allocation in heterogeneous cellular networks. IEEE Trans Wirel Commun. 2019;18(11):5141–52. doi:10.1109/TWC.2019.2933417. [Google Scholar] [CrossRef]
123. Zia K, Javed N, Sial MN, Ahmed S, Pirzada AA, Pervez F. A distributed multi-agent RL-based autonomous spectrum allocation scheme in D2D enabled multi-tier HetNets. IEEE Access. 2019;7:6733–45. doi:10.1109/ACCESS.2018.2890210. [Google Scholar] [CrossRef]
124. Lee S, Lee H. MUSK-DQN: multi-UBS selective-K Deep Q-network for maximizing energy-efficiency. In: 2023 IEEE 20th Consumer Communications & Networking Conference (CCNC); 2023; Las Vegas, NV, USA. doi:10.1109/CCNC51644.2023.10059845. [Google Scholar] [CrossRef]
125. Song Q, Wang X, Qiu T, Ning Z. An interference coordination-based distributed resource allocation scheme in heterogeneous cellular networks. IEEE Access. 2017;5:2152–62. doi:10.1109/ACCESS.2017.2657221. [Google Scholar] [CrossRef]
126. Ainul RD, Mahmudah H, Wijayanti A. Scheduling schemes of time and frequency resource allocation for interference coordination method based on user priority in LTE-femtocell. In: 2015 International Electronics Symposium (IES); 2015; Surabaya, Indonesia. doi:10.1109/ELECSYM.2015.7380837. [Google Scholar] [CrossRef]
127. Liu Q, Zou J, Gu Y. An analysis of distributed joint spectrum resource allocation with power control in ultra-dense cellular networks. IEEE Trans Veh Technol. 2022;71(10):11201–15. doi:10.1109/TVT.2022.3189541. [Google Scholar] [CrossRef]
128. Liu CJ, Huang P, Xiao L, Esfahanian AH. Inter-femtocell interference identification and resource management. IEEE Trans Mobile Comput. 2020;19(1):116–29. doi:10.1109/TMC.2019.2892138. [Google Scholar] [CrossRef]
129. Li M, Hao Y, Zhang Y, Chen M. Non-uniform pricing and resource allocation economics for hetnet based on stackelberg game. IEEE Commun Letters. 2022;26(3):632–6. doi:10.1109/LCOMM.2021.3137286. [Google Scholar] [CrossRef]
130. Alquhali A, Mardeni R, Abdelgadir M, Kordi K, Mohamed K. Enhanced fractional frequency reuse approach for interference mitigation in femtocell networks. Bull Electr Eng Inform. 2020 Aug;9(4):1638–45. doi:10.11591/eei.v9i4.2355. [Google Scholar] [CrossRef]
131. Feng K, Haenggi M. A location-dependent base station cooperation scheme for cellular networks. IEEE Trans Commun. 2019;67(9):6415–26. doi:10.1109/TCOMM.2019.2917201. [Google Scholar] [CrossRef]
132. Ijaz A, Hassan SA, Jayakody DNK. A multiple region reverse frequency allocation scheme for downlink capacity enhancement in 5G HetNets. In: 2017 14th IEEE Annual Consumer Communications & Networking Conference (CCNC); 2017; Las Vegas, NV, USA. doi:10.1109/CCNC.2017.7983253. [Google Scholar] [CrossRef]
133. S.Ezhilarasi PTVB. EModified RRP scheme for interference management in OFDMA based heterogeneous networks. Wirel Netw. 2021;27(8):5105–24. doi:10.1007/s11276-021-02807-8. [Google Scholar] [CrossRef]
134. Nasser A, Muta O, Elsabrouty M. Cross-tier interference management scheme for downlink mMIMIO-NOMA HetNet. In: 2019 IEEE 89th Vehicular Technology Conference (VTC2019-Spring); 2019; Kuala Lumpur, Malaysia. doi:10.1109/VTCSpring.2019.8746524. [Google Scholar] [CrossRef]
135. Ali NA, El-Soudani M, ElSayed HM, Mourad HAM, Amer HH. Interference mitigation in D2D communications for 5G mobile networks. In: 2021 13th International Conference on Electronics, Computers and Artificial Intelligence (ECAI); 2021; Pitesti, Romania. doi:10.1109/ECAI52376.2021.9515123. [Google Scholar] [CrossRef]
136. Elhattab M, Kamel M, Hamouda W. Edge-aware remote radio heads cooperation for interference mitigation in heterogeneous C-RAN. IEEE Trans Veh Technol. 2021;70(11):12142–57. doi:10.1109/TVT.2021.3111148. [Google Scholar] [CrossRef]
137. 3GPP. Study on scenarios and requirements for next generation access technologies. 2017. 3GPP TR 38.913 version 14.2.0 Release 14. Technical standards ETSI [cited 2024 Nov 20]. Available from: https://www.etsi.org/deliver/etsi_tr/138900_138999/138913/14.02.00_60/tr_138913v140200p.pdf. [Google Scholar]
138. Popovski P, Trillingsgaard KF, Simeone O, Durisi G. 5G wireless network slicing for eMBB, URLLC, and mMTC: a communication-theoretic view. IEEE Access. 2018;6:55765–79. [Google Scholar]
139. ITU-R. Guidelines for evaluation of radio interface technologies for IMTAdvanced [cited 2024 Nov 20]. 2009. Report ITU-R M.2135-1 [cited 2024 Nov 20]. Available from: https://www.itu.int/dms_pub/itu-r/opb/rep/r-rep-m.2135-1-2009-pdf-e.pdf. [Google Scholar]
140. 3GPP. 5G; Study on channel model for frequencies from 0.5 to 100 GHz. 2020. 3GPP TR 38.901 version 15.0.0 Release 15. Technical standards ETSI [cited 2024 Nov 20]. Available from: https://www.etsi.org/deliver/etsi_tr/138900_138999/138901/15.00.00_60/tr_138901v150000p.pdf. [Google Scholar]
Cite This Article
Copyright © 2025 The Author(s). Published by Tech Science Press.This work is licensed under a Creative Commons Attribution 4.0 International License , which permits unrestricted use, distribution, and reproduction in any medium, provided the original work is properly cited.


Submit a Paper
Propose a Special lssue
View Full Text
Download PDF
Downloads
Citation Tools